考研真题
1. 全国名校计算机基础综合考研真题汇总
考研指导书
1. 严蔚敏《数据结构》(C语言版)典型习题和考研真题详解
2. 严蔚敏《数据结构》(C语言版)配套题库【考研真题精选(部分视频讲解)+章节题库】
3. 谢希仁《计算机网络》(第7版)配套题库【考研真题精选(部分视频讲解)+章节题库】
4. 2026年计算机组成原理考研题库【名校考研真题+经典教材课后习题+章节题库+模拟试题】
5. 2026年数据结构考研题库【名校考研真题+章节题库+模拟试题】

2026年计算机组成原理考研题库【名校考研真题+经典教材课后习题+章节题库+模拟试题】
书籍目录
第一部分 名校考研真题
一、选择题
二、综合应用题
第二部分 经典教材课后习题
白中英《计算机组成原理》(第5版)课后习题
唐朔飞《计算机组成原理》(第2版)课后习题
第三部分 章节题库
第1章 计算机系统概述
第2章 数据的表示与运算
第3章 存储器的分层
第4章 指令系统
第5章 中央处理器
第6章 总线系统
第7章 输入输出系统
第四部分 模拟试题
计算机组成原理考研模拟试题及详解(一)
计算机组成原理考研模拟试题及答案(二)

部分内容
第一部分 名校考研真题
一、选择题
1计算机硬件能够直接执行的是(
)。[2015年联考真题]
Ⅰ.机器语言程序
Ⅱ.汇编语言程序
Ⅲ.硬件描述语言程序
A.仅Ⅰ
B.仅Ⅰ Ⅱ
C.仅Ⅰ Ⅲ
D.ⅠⅡ Ⅲ
【答案】A
【解析】机器语言是计算机唯一可以直接执行的语言。汇编语言属于低级语言,但其源程序必须要翻译成目标程序成为机器语言程序后才能被直接执行。硬件描述语言是电子系统硬件行为描述、结构描述、数据流描述的语言。
2一台完整的计算机系统应包括( )几大部分。
A.运算器、存储器和控制器
B.外设与主机
C.主机和实用程序
D.配套的硬件设备和软件系统
【答案】D
【解析】一台完整的计算机系统包括硬件系统和软件系统两大部份。二者都不可缺少。
3由3个“1”和5个“0”组成的8位二进制补码,能表示的最小整数是(
)。[2015年联考真题]
A.-126
B.-125
C.-32
D.-3
【答案】B
【解析】能表示的最小整数一定是负数,符号位占用1个“1”;负数的补码和原码的转化是:原码符号位不变,数值部分按位取反,末位加“1”。因此最小的整数的补码是“10000011”,原码为“11111101”,即-12510。
4下列有关浮点数加减运算的叙述中,正确的是( )。[2015年联考真题]
Ⅰ.对阶操作不会引起阶码上溢或下溢
Ⅱ.右规和尾数舍入都可能引起阶码上溢
Ⅲ.左规时可能引起阶码下溢
Ⅳ.尾数溢出时结果不一定溢出
A.仅Ⅱ Ⅲ
B.仅ⅠⅡ Ⅳ
C.仅ⅠⅢ Ⅳ
D.ⅠⅡ Ⅲ Ⅳ
【答案】D
【解析】浮点数的加减运算步骤包括:①对阶,使两个操作数的小数点位置对齐,阶码小的尾数右移,可能产生溢出,但是阶码不会溢出;②尾数求和,将对阶后的尾数按定点数加(减)运算规则运算;③规格化,包括左规和右规,左规时阶码减少,可能出现阶码下溢,而右规时,阶码增加可能出现阶码上溢;④舍入,该过程可能需要右规调整,因此可能出现阶码上溢;⑤溢出判断,浮点数的溢出与否是由阶码的符号决定的,而不是由尾数溢出判断的,因此尾数溢出时结果不一定溢出。因此ⅠⅡ
Ⅲ Ⅳ均正确。
5若阶码为三位,用补码表示;尾数7位,用原码表示,其中一位为符号位;以2为底,则十进制数27/64的浮点规格化数是( )。[东部名校考研真题]
A.0101011011
B.1100110110
C.1110110110
D.0001011011
【答案】C
【解析】首先排除A、D,它们非规格化,因为规格化的原码,最高数值位为1。27/64的原码表示:0.0110110=0.110110×2-1。左移一位成规格化数。阶码用补码:111。
6假定主存地址为32位,按字节编址,主存和Cache之间采用直接映射方式,主存块大小为4个字,每字32位,采用回写(Write Back)方式,则能存放4K字数据的Cache的总容量的位数至少是( )。[2015年联考真题]
A.146k
B.147K
C.148K
D.158K
【答案】B
【解析】Cache和主存直接映射方式的规则为:主存储器分为若干区,每个区与缓存容量相同;每个区分为若干数据块,每个块和缓存块容量相同;主存中某块只能映象到Cache的一个特定的块中。本题中,Cache总共存放4K字数据,块大小为4个字,因此cache被分为4K/4 = 1K个块,由10位表示。块内共16字节,所以由4位表示,于是标记位为32-10-14=18 位。所以,Cache的每一行需要包含所存的数据4个字,每个字32位,18位标记位和一个有效位,因此总容量为:(4*32 + 18 + 1)*1K = 147K。
7假定编译器将赋值语句“x=x+3;”转换为指令”add xaddt,3”,其中xaddt是x对应的存储单元地址,若执行该指令的计算机采用页式虚拟存储管理方式,并配有相应的TLB,且Cache使用直写(Write Through)方式,则完成该指令功能需要访问主存的次数至少是(
)。[2015年联考真题]
A.0
B.1
C.2
D.3
【答案】C
【解析】采用页式虚拟存储管理方式时,若页表全部放在内存中,则存取一个数据最少要访问两次内存:第一次是访问页表,得到所存取的数据或指令的物理地址;第二次根据该地址存取数据或指令。在配有TLB的页式虚拟管理方式中,如果给出的地址在TLB中,则直接根据该地址取数据或指令,仅需要一次访问内存。Cache使用直写方式时,计算完需要将数据写回到内存中,因此完成整个指令功能至少需要访问主存2次。
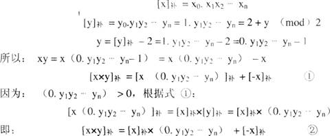
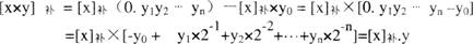
8[A×B]补=(
)。[北方名校考研真题]
A.[A]补×[B]补
B.[A]补×[B]补-[A]补×2n
C.[A]补×B
D.[A]补×B-[A]补×2n
【答案】C
【解析】(1)当被乘数x的符号任意,以补码表示,乘数y为正。
设:
因为:
所以,
因为:(y1 y2…yn)是大于0的正整数。根据模运算的性质有:2(y1y2…yn)=2(mod2)
所以:

(2)当被乘数x符号任意,乘数y为负,都以补码表示。

(3)被乘数X与乘数Y的符号任意,以补码表示。
只要将式①与式②综合起来便得到补码乘法的统一算式如下:

9下列存储器中,在工作期间需要周期性刷新的是(
)。[2015年联考真题]
A.SRAM
B.SDRAM
C.ROM
D.FLASH
【答案】B
【解析】动态随机存储器(DRAM)是利用存储元电路中栅极电容上的电荷来存储信息的,电容上的电荷一般只能维持1~2ms,因此即使电源不掉电,信息也会自动消失。为此,每隔一定时间必须刷新。
10某计算机使用4体交叉存储器,假定在存储器总线上出现的主存地址(十进制)序列为8005,8006,8007,8008,8001,8002,8003,8004,8000,则可能发生发生缓存冲突的地址对是(
)。[2015年联考真题]
A.8004、8008
B.8002、8007
C.8001、8008
D.8000、8004
【答案】D
【解析】交叉存储器,又称低位交叉编址,即低位地址为体号,高位地址为体内地址。本题中,主存地址对应的体号分别是:1,2,3,4,1,2,3,4,4。地址为8004和8000都是存取的四号储存器,可能导致8004存储还未完成而又存取8000地址,因此可能发生缓存冲突。
11为使虚拟存储系统有效地发挥其预期的作用,所运行的程序应具有的特性是( )。[西部名校考研真题]
A.该程序不应含有过多的I/O操作
B.该程序的大小不应超过实际的内存容量
C.该程序应具有较好的局部性
D.该程序的指令间相关不应过多
【答案】C
【解析】Cache和虚存都是基于程序的局部性原理——程序访问在时间、空间和顺序上都有一定的范围。
12下列有关总线定时的叙述中,错误的是(
)。[2015年联考真题]
A.异步通信方式中,全互锁协议最慢
B.异步通信方式中,非互锁协议的可靠性最差
C.同步通信方式中,同步时钟信号可由多设备提供
D.半同步通信方式中,握手信号的采样由同步时钟控制
【答案】C
【解析】A项正确,异步通信方式中,全互锁协议最慢,主从模块都需要等待确认后才能撤销其信号;B项正确,异步通信方式中,非互锁协议没有相互确认机制,因此可靠性最差;C项错误,同步通信要遵循统一的时钟信号,不能由多设备提供;D项正确,半同步通信方式中,握手信号的采样由同步时钟控制。
13某一SRAM芯片,其容量为1024×8位,除电源和接地端外,该芯片引脚的最小数目为( )。[东部名校经典试题)]
A.20
B.22
C.25
D.30
【答案】A
【解析】芯片容量为1024×8位:1024说明芯片容量为1024,故地址线为10根才能译码出1024个单元1024B=210B;8位说明数据线是8位,再加上片选端和读写控制线(因这里为RAM),所以要读写控制。故引脚最小引脚数为:10+8+1+1=20,选A项。
14若磁盘转速为7200转/分,平均寻道时间为8ms,每个磁道包含1000个扇区,则访问一个扇区的平均存取时间大约是( )。[2015年联考真题]
A.8.1ms
B.12.2ms
C.16.3ms
D.20.5ms
【答案】B
【解析】磁盘的平均寻址时间包括平均寻道时间和平均等待时间。平均寻道时间为8ms,平均等待时间与磁盘转速有关,为[60s/7200]*0.5 ≈4.165ms。磁盘的存取一个扇区的时间为60s/(7200 * 1000) ≈ 0.0083ms。因此总的时间为:8 + 4.165 + 0.0083 = 12.1733ms。
15采用虚拟存储器的主要目的是( )。
A.提高主存的存取速度
B.扩大主存的存储空间,并能进行自动管理和调度
C.提高外存的存取速度
D.扩大外存的存储空间
【答案】B
【解析】虚存主要是扩大主存的存储空间,并提供相应的调度管理机制。虚拟存储器是一个虚拟的空间,主机不可直接访问,本题应选择B项。
16在采用中断I/O方式控制打印输出的情况下,CPU和打印控制接口中的I/O端口之间交换的信息不可能是(
)。[2015年联考真题]
A.打印字符
B.主存地址
C.设备状态
D.控制命令
【答案】B
【解析】I/O接口的功能包括:①选址功能;②传送命令功能;③传送数据功能;④反映I/O设备工作状态功能。A项为数据,C项为设备状态,D项为命令。B项,主存地址在中断方式控制下是不需要的,因此,它不可能是CPU和打印控制接口中的I/O端口之间交换的信息。
17内部异常(内中断)可分为故障(fault)、陷阱(trap)和终止(abort)三类。下列有关内部异常的叙述中,错误的(
)。[2015年联考真题]
A.内部异常的产生与当前执行指令相关
B.内部异常的检测由CPU内部逻辑实现
C.内部异常的响应发生在指令执行过程中
D.内部异常处理后返回到发生异常的指令继续执行
【答案】D
【解析】内中断分为:①由软中断指令启动的中断;②在一定条件下由CPU自身启动的中断。D项错误,如突然掉电引发的内中断经处理后不会继续执行。
18某计算机字长32位,其存储容量为8MB,若按字编址,它的寻址范围是(
)。
A.0~2M
B.0~8MB
C.0~8M
D.0~2MB
【答案】A
【解析】存储容量8M×8bit,字长32位,所以按字长编码,地址范围应该为:(8M×8)/32=2M;如果按照字节编码,则地址范围为:(8M×8)/8=8M;如果按照半字编码,半字就是16位,则地址范围为:(8M×8)/16=4M字。
19程序P在机器M上的执行时间是20秒,编译优化后,P执行的指令数减少到原来的70%,而CPI增加到原来的1.2倍,则P在M上的执行时间是( )。[2014年联考真题]
A.8.4秒
B.11.7秒
C.14秒
D.16.8秒
【答案】D
【解析】20*0.7*1.2 = 16.8
20若x=103,y=-25,则下列表达式采用8位定点补码运算实现时,会发生溢出的是(
)。[2014年联考真题]
A.x+y
B.-x+y
C.x-y
D.-x-y
【答案】C
【解析】8位定点补码能表示的数的范围为:-128~127
A结果为78,B结果为-128,D结果为-78都在此范围内,只有C结果128超过了8位定点补码能表示的数的范围,会发生溢出
21在下列因素中与Cache的命中率无关的是(
)。
A.主存的存取时间
B.Cache的组织方式
C.Cache的大小
D.Cache的容量
【答案】A
【解析】Cache的命中率反映的是当前的读操作是否在Cache中的问题,与Cache块的大小、组织方式、容量等有关,而与主存的存取时间无关。
22float型整数据常用IEEE754单精度浮点格式表示,假设两个float型变量x和y分别在32为寄存器f1和f2中,若(f1)=CC900000H, (f2)=B0C00000H,则x和y之间的关系为:( )。[2014年联考真题]
A.x<y且符号相同
B.x<y且符号不同
C.x>y且符号相同
D.x>y且符号不同
【答案】A
【解析】两个数对应的IEEE754的标准形式为;

将IEEE754单精度形式的二进制转化为浮点数公式为V=(-1)^s*2^(E-Bias)*M
由于f1,f2的符号位都是1,所以f1,f2符号相同,而阶码上f1>f2,所以f1>f2,所以f1的绝对值比f2大,而他们都是负数,所以f1<f2,所以选A
23某容量为256M的存储器,由若干4M*8位的DRAM芯片构成,该DRAM芯片的地址引脚和数据引脚总数是:(
)。[2014年联考真题]
A.19
B.22
C.30
D.36
【答案】A
【解析】DRAM地址线复用,4M为2的22次方,因此除2为11根,数据线8根。因此地址引脚和数据引脚总数为19根
24下列Cache替换算法中,速度最快的是(
),命中率最高的是( )。
A.随机替换算法;近期最少使用(LRU)算法
B.最不经常使用(LFU)算法;近期最少使用(LRU)算法
C.近期最少使用(LRU)算法;FIFO
D.FIFO;最不经常使用(LFU)算法
【答案】A
【解析】速度最快的自然是随机替换,它不需要复杂的计算。由随机数发生器产生一个随机数,该数即为替换的块。LRU最能够反映程序的局部性原理,而Cache正是基于该原理,所以命中率最高。
25采用指令Cache与数据Cache分离的主要目的是( )。[2014年联考真题]
A.减低Cache的缺失损失
B.提高Cache的命中率
C.减低CPU平均访问时间
D.减少指令流水线资源冲突
【答案】D
【解析】指令流水线不会断流,预取过来的都是指令
26某计算机有16个通用寄存器,采用32位定长指令字操作码字段(含寻址方式位)为8位,Store指令的源操作数和目的操作数分别采用寄存器直接寻址和基址寻址方式,若基址寄存器可使用任一通用寄存器,且偏移量用补码表示,则Store指令中偏移量的取值范围是( )。[2014年联考真题]
A.-32768~+32767
B.-32767~+32768
C.-65536~+65535
D.-65535~+65536
【答案】A
【解析】寄存器个数16=24,偏移量有32-8-4-4=16位
指令编址方式如下所示:

16位补码取值范围为-32768~+32767,所以偏移量取值范围为-32768~+32767
27.在下列体系结构中,最适合多个任务并行执行的体系结构是( )。[西部名校考研真题]
A.流水线向量机结构
B.堆栈处理机结构
C.共享存储多处理机结构
D.分布存储多计算机结构
【答案】D
【解析】最适合多个任务并行执行的体系结构应该是MIMD的结构,并且每个处理单元最好有自己的存储器,故选D项。
28某计算机采用微程序控制器,共有32条指令,公共的取指令微程序包含2条微程序,各指令对应的微程序平均由4条微指令组成,采用断定法(下址字段法)确定下条微指令的地址,则微指令中下址字段的位数至少是:( )。[2014年联考真题]
A.5
B.6
C.8
D.9
【答案】C
【解析】32*4+2=130,27=128<130<28=256,所以至少需要8位才能表示完130个地址。
29某同步总线采用数据线和地址线复用方式。其中地址数据线有8根,总线时钟频率为66MHZ,每个时钟同期传送两次数据。(上升沿和下降沿各传送一次数据)该总线的最大数据传输率是(总线带宽):( )。[2014年联考真题]
A.132MB/S
B.264MB/S
C.528MB/S
D.1056MB/S
【答案】C
【解析】总线带宽=总线工作频率×(总线宽度/8),由于地址线与数据线复用,所以在两次数据传输过程中总线上数据一共传输了8次,那么总线带宽为66*8=528,所以选C
30CPU中决定指令执行顺序的是(
)。[北方名校考研真题]
A.标志寄存器
B.指令寄存器
C.程序计数器
D.数据缓冲器
【答案】C
【解析】CPU中6类寄存器的基本作用,PC决定指令执行顺序。
31一次总线事物中,主设备只需给出一个首地址,从设备就能从首地址开始的若干连续单元格读出或写入的个数,这种总线事务方式称为( )。[2014年联考真题]
A.并行传输
B.串行传输
C.突发
D.同步
【答案】C
【解析】突发数据传输方式:在一个总线周期内传输存储地址连续的多个数据字的总线传输方式
32下列有关I/O接口的叙述中错误的是:( )。[2014年联考真题]
A.状态端口和控制端口可以合用同一寄存器
B.I/O接口中CPU可访问寄存器,称为I/O端口
C.采用独立编址方式时,I/O端口地址和主存地址可能相同
D.采用统一编址方式时,CPU不能用访存指令访问I/O端口
【答案】D
【解析】采用统一编码方式,存储器和I/O端口共用统一的地址空间,不需要专用的I/O指令,任何对存储器数据进行操作的指令都可用于I/O端口的数据操作。所以D错误
33微指令执行的顺序控制问题,实际上是如何确定下一条微指令的地址问题,通常用的一种方法是断定方式,其基本思想是( )。[东部名校经典试题]
A.用程序计数器(PC)来产生后继微指令地址
B.用微程序计数器(MPC)来产生后继微指令地址
C.通过微指令顺序控制字段由设计者指定或者由设计者指定的判断别字段控制产生后继微指令地址
D.通过指令中指定一个专门字段来控制产生后继微指令地址
【答案】D
【解析】下址字段法就是断定方法,它不采用μPC(或者叫MPC),微指令地址由微地址寄存器(μAR)提供。在微指令格式中设置一个下址字段,用以指明下一条要执行的微指令地址。
当一条微指令被取出时,下一条微指令的地址(在下址字段中)送μAR。它相当于每条微指令都具有转移微指令的功能。采用这种方法就不必设置专门的转移微指令,但增加了微指令字的长度。
34某设备中断请求的响应和处理时间为100ns,每400ns发出一次中断请求,中断响应所容许的最长延迟时间为50ns,则在该设备持续工作过程中CPU用于该设备的I/O时间占整个CPU时间百分比至少是( )。[2014年联考真题]
A.12.5%
B.25%
C.37.5%
D.50%
【答案】B
【解析】每400ns响应一次中断并且用100ns进行处理,所以该设备的I/O时间占用CPU时间百分比为100/400=25%,中断响应容许的延迟时间对此没有影响,属于干扰条件。
35某计算机主频为1.2GHz,其指令分为4类,它们在基准程序中所占比例及CPI如下表所示。

该机的MIPS数是(
)。[2013年联考真题]
A.100
B.200
C.400
D.600
【答案】C
【解析】基准程序的CPI=2*0.5+3*0.2+4*0.1+5*0.2=3。计算机的主频为1.2GHz,为1200MHz,该机器的MIPS为1200/3=400。
36.设相对寻址的转移指令占两个字节,第一字节是操作码,第二字节是相对位移量(用补码表示)。每当CPU从存储器取出第一个字节时,即自动完成(PC)+1-PC。设当前PC的内容为2003H,要求转移到200AH地址,则该转移指令第二字节的内容应:勾( )。若PC的内容为2008H,要求转移到2001H地址,则该转移指令第二字节的内容鹰为(
)。[北方名校考研真题]
A.06H;F7H
B.05H;F7H
C.07H;F8H
D.05H;F9H
【答案】A
【解析】(PC)+1的“1”指的是“指令字长的字节数”。
题中的PC只加一个字节,200AH=(2003H+2H)+05H。
2001H-(2008H+2H)=-09H-9的补码正好F7H。
37某数采用IEEE754单精度浮点数格式表示为C640 0000H,则该数的值是(
)。[2013年联考真题]
A.-1.5×213
B.-1.5×212
C.-0.5x×213
D.-0.5×212
【答案】A
【解析】IEEE754单精度浮点数格式为C640 0000H表示为二进制格式为1100 0110 0100 0000 0000 0000 0000 0000,转换为标准的格式为:

因此,浮点数的值为-1.5*213。
38.某字长为8位的计算机中,已知整型变量x、y的机器数分别为[x]补=11110100,[y]补=10110000。若整型变量z=2*x+y/2,则z的机器数为(
)。[2013年联考真题]
A.11000000
B.00100100
C.10101010
D.溢出
【答案】A
【解析】将x左移一位,y右移一位,两个数的补码相加的机器数为1 1000000,故答案选择A。
39.在指令格式中,采用扩展操作码设计方案的目的是( )。[东部名校考研真题]
A.减少指令字长度
B.增加指令字长度
C.保持指令字长度不变而增加指令操作的数量
D.保持指令字长度不变而增加寻址空间
【答案】C
【解析】扩展操作码是一种指令优化的技术,可以在长度不变的情况下增加指令字所能表示的操作信息,应选C项。
40用海明码对长度为8位的数据进行检/纠错时,若能纠正一位错,则校验位数至少为( )[2013年联考真题]
A.2
B.3
C.4
D.5
【答案】C
【解析】设校验位的位数为k,数据位的位数为n,根据海明码编码k和n应满足下述关系。
。n=8,当k=4时,
,符合要求,校验位至少是4位,故答案为C。
41.某计算机主存地址空间大小为256MB,按字节编址。虚拟地空间大小为4GB,采用页式存储管理,页面大小为4KB,TLB(快表)采用全相联映射,有4个页表项,内容如下表所示。

则对虚拟地址03FFF180H进行虚实地址变换的结果是(
)。[2013年联考真题]
A.0153180H
B.0035180H
C.TLB缺失
D.缺页
【答案】A
【解析】虚拟地址为03FF F180H,其中页号为03FFFH,页内地址为180H,根据题目中给出的页表项可知页标记为03FFFH 所对应的页框号为0153H,页框号与页内地址之和即为物理地址015 3180H。
42.在指令格式中采用扩展操作码的设计方案是为了( )。[东部名校考研真题]
A.减少指令字长度
B.增加指令字长度
C.保持指令字长度不变,增加指令条数
D.保持指令字长度不变,而增加寻址空间
【答案】C
【解析】扩展错做码可以在保持指令长度不变而增加指令字所能表示的操作信息,但寻址空间没有增加。
43假设变址寄存器R的内容为1000H,指令中的形式地址为2000H;地址1000H中的内容为2000H,地址2000H中的内容为3000H,地址3000H中的内容为4000H,则变址寻方式下访问到的操作数是( )。[2013年联考真题]
A.1000H
B.2000H
C.3000H
D.4000H
【答案】D
【解析】根据变址寻址的EA=(IX)+A,变址寄存器的内容与形式地址的内容相加之后得到操作数的实际地址,由题可知EA=1000H+2000H=3000H,根据实际地址访问内存,获取操作数4000H。
44某CPU主频为1.03GHz,采用4级指令流水线,每个段的执行需要1个时钟周期。假定CPU执行了100条指令,在其执行过程中没有发生任何流水线阻塞,此时流水线的吞吐率为( )。[2013年联考真题]
A.0.25×109条指令/秒
B.0.97×109条指令/秒
C.1.0×109条指令/秒
D.1.03×109条指令/秒
【答案】C
【解析】采用4级流水线执行100条指令,在执行过程中共用4+(100-1)=103个时钟周期。CPU的主频是1.03GHz,也就是说每秒钟有1.03G个时钟周期。流水线的吞吐率为1.03G*100/103=1.0*109条指令/秒,故答案为C。
45.某计算机系统主存地址m位,机器字长n位,m>n。若指令系统采用定长格式指令,则(
)寻址方式执行速度最快,( )寻址方式执行速度最慢。若采用变长格式指令,则( )寻址方式执行速度最快,( )寻址方式执行速度最慢,(
)寻址方式指令长度最长,( )寻址方式指令长度最短。[北方名校考研真题]
A.立即;存储器问接;直接;存储器问接;直接;寄存器直接
B.寄存器直接;存储器间接;立即;存储器问接;直接;寄存器直接
C.寄存器直接;存储器间接;立即;存储器问接;直接;寄存器间接
D.寄存器直接;存储器直接;立即;存储器间接;直接;寄存器直接
【答案】B
【解析】若指令系统采用定长格式指令,则:
①寄存器直接寻址方式执行速度最快;
②存储器间接寻址方式执行速度最慢;
③直接寻址方式地址码部分最长;
④寄存器直接寻址方式地址码部分最短。
主要考虑操作数寻址的特点,操作数的物理位置,对操作指令的执行时间影响很大。
46.下列选项中,用于设备和控制器(I/O接口)之间互连的接口标准是(
)。[2013年联考真题]
A.PCI
B.USB
C.AGP
D.PCI-Express
【答案】B
【解析】设备和设备控制器之间的接口是USB接口,其余选项不符合,故答案为B。
47.下列选项中,用于提高RAID可靠性的措施有( )。[2013年联考真题]
I.磁盘镜像
II.条带化
III.奇偶校验
IV.增加Cache机制
A.仅I、II
B.仅I、III
C.仅I、III和IV
D.仅II、III和IV
【答案】B
【解析】能够提高RAID可靠性的措施主要是对磁盘进行镜像处理和进行奇偶校验。其余选项不符合条件。
48.描述PCI总线中基本概念不正确的句子是(
)。
A.PCI总线是一个与处理器无关的高速外围总线
B.PCI总线的基本传输机制是猝发式传送
C.PCI设备不一定是主设备
D.系统中允许只有一条PCI总线
【答案】D
【解析】PCI高速与处理器无关,采用猝发方式、集中仲裁,可以是主设备可以是从设备、系统中可以有多条PCI总线。所以选D项。
49.某磁盘的转速为10,000转/分,平均寻道时间是6ms,磁盘传输速率是20MB/s,磁盘控制器延迟为0.2ms,读取一个4KB的扇区所需平均时间约为( )。[2013年联考真题]
A.9ms
B.9.4ms
C.12ms
D.12.4ms
【答案】B
【解析】磁盘转速是10 000转/分钟,平均转一转的时间是6ms,因此平均查询扇区的时间是3ms,平均寻道时间是6ms,读取4KB扇区信息的时间为0.2ms,信息延迟的时间为0.2ms,总时间为3+6+0.2+0.2=9.4 ms。
50.下列关于中断I/O方式和DMA方式比较的叙述中,错误的是(
)。[2013年联考真题]
A.中断I/O方式请求的是方式请求的是CPU处理时间,DMA方式请求的是总线使用权
B.中断响应发生在一条指令执行结束后,中断响应发生在一条指令执行结束后,DMA响应发生在一个总线事务完成后
C.中断I/O方式下数据传送通过软件完成,方式下数据传送通过软件完成,DMA方式下数据传送由硬件完成
D.中断I/O方式适用于所有外部设备,方式适用于所有外部设备,DMA方式仅适用于快速外部设备
【答案】D
【解析】中断处理方式:在I/O设备输入每个数据的过程中,由于无需CPU干预,因而可使CPU与I/O设备并行工作。仅当输完一个数据时,才需CPU花费极短的时间去做些中断处理。因此中断申请使用的是CPU处理时间,发生的时间是在一条指令执行结束之后,数据是在软件的控制下完成传送。而DMA方式与之不同。DMA方式:数据传输的基本单位是数据块,即在CPU与I/O设备之间,每次传送至少一个数据块,DMA方式每次申请的是总线的使用权,所传送的数据是从设备直接送入内存的或者相反;仅在传送一个或多个数据块的开始和结束时,才需CPU干预,整块数据的传送是在控制器的控制下完成的。答案D的说法不正确。
51假定基准程序A在某计算机上的运行时间为l00秒,其中90秒为CPU时间,其余为I/O时间。若CPU速度提高50%,I/O速度不变,则运行基准程序A所耗费的时间是( )。[2012年联考真题]
A.55秒
B.60秒
C.65秒
D.70秒
【答案】D
【解析】CPU速度提高50%,即CPU性能提高比为l.5,改进之后的CPU运行时间=90÷1.5=60秒。I/O速度不变,仍维持l0秒,所以运行基准程序A所耗费的时间为70秒。
52CPU程序与通道程序可以并行执行,并通过(
)实现彼此之间的通讯和同步。[东部名校考研真题]
A.I/O指令
B.I/O中断
C.I/O指令和I/O中断
D.操作员
【答案】C
【解析】通道的基本功能是执行通道指令,通过有限的I/O指令启动外围设备,向CPU报告中断。所以选C项。
53假定编译器规定int和short类型长度分别为32位和16位,执行下列C语言语句:unsigned short X=65530;unsigned
int y=X:得到y的机器数为( )。[2012年联考真题]
A.00007FFAH
B.0000FFFAH
C.FFFF7FFAH
D.FFFFFFFAH
【答案】B
【解析】X和y均为无符号数,其中X为16位,y为32位,将16位无符号数转化成32位无符号数,前面要补零。因为X=65530=FFFAH,所以y=0000FFFAH。
54float类型(即IEEE754单精度浮点数格式)能表示的最大正整数是( )。[2012年联考真题]
A.2126-2103
B.2127-2104
C.2127-2103
D.2128-2104
【答案】D
【解析】IEEE754单精度浮点数尾数采用隐藏位策略的原码表示,且阶码用移码表示的浮点数。规格化的短浮点数的真值为:(-1)S×1.f×2(E-127),S为符号位,E的取值为1~254,f为23位;故float类型能表示的最大整数是1.111^1×2(254-127)=2127×(2-2-23)= 2128-2104。
55DMA控制器含两种类型,一类是( ),另一类是( )。[南方名校考研真题]
【答案】选择型DMA;多路型DMA
【解析】DMA控制器按照组成结构分,可分为多路型和选择型。选择型物理上可以连接多个设备,而逻辑上只能连一个设备,以数据块为传送单位,适合于高速;多路型物理和逻辑上都可以连多个设备,以字节为传送单位,适合慢速设备。
56某计算机存储器按字节编址,采用小端方式存放数据。假定编译器规定int和short型长度分别为32位和16位,并且数据按边界对齐存储。某C语言程序段如下:

若record变量的首地址为0xC008,则地址0xC008中内容及record.c的地址分别为( )。[2012年联考真题]
A.0x00、0xC00D
B.0x00、0xCOOE
C.0x11、0xC00D
D.0x11、0xC00E
【答案】D
【解析】32位整数a需要占4个字节,l6位整数c需要占2个字节,而字符数据b占一个字节。a=273,转换成十六进制是111H,采用小端方式存放数据,地址0xC008中的内容为11H。由于数据按边界对齐存储,地址0xC008~OxCOOB中存放a,地址0xC00C中存放b,地址0xC00D中空闲,地址0xC00E~0xC00F中存放c。
57下列关于闪存(FlashMemory)的叙述中,错误的是(
)。[2012年联考真题]
A.信息可读可写,并且读、写速度一样快
B.存储元由MOS管组成,是一种半导体存储器
C.掉电后信息不丢失,是一种非易失性存储器
D.采用随机访问方式,可替代计算机外部存储器
【答案】A
【解析】考查闪存的特性,闪存是EEPROM的进一步发展,可读可写,用MOS管的浮栅上有无电荷来存储信息,它依然是ROM的一种,故写速度比读速度要慢不少。闪存是一种非易失性存储器,它采用随机访问方式,现在常见的SSD固态硬盘就是由flash芯片组成的,故答案为A。
58已知某机采用微程序控制方式,其控制存储器的容量为512×48位。微程序可在整个控制存储器中实现转移,可控制微程序转移的条件共有4个(直接控制),微程序采用水平型格式,如图6-15所示。则微指令中的3个字段分别应为( )位。

A.微命令字段35位,判别测试字段为2位。下地址字段为11位
B.微命令字段33位,判别测试字段为6位。下地址字段为9位
C.微命令字段33位,判别测试字段为4位。下地址字段为11位
D.微命令字段35位,判别测试字段为4位。下地址字段为9位。
【答案】D
【解析】因为控制微程序转移的条件采用直接控制,即每一位对应一个转移条件,故判别测试字段为4位。因为控存容量为512个单元,所以下地址字段为9位。微命令字段则是(48-4-9)=35位。
59假设某计算机按字编址,Cache有4个行,Cache和主存之间交换的块大小为l个字。若Cache的内容初始为空,采用2路组相联映射方式和LRU替换算法,当访问的主存地址依次为0,4,8,2,0,6,8,6,4,8时,命中Cache的次数是(
)。[2012年联考真题]
A.1
B.2
C.3
D.4
【答案】C
【解析】Cache有4个行,2路组相联,即Cache被分成2组,每组2行。主存地址为0~1、4~5、8~9可映射到第0组Cache中,主存地址为2~3、6~7可映射到第1组Cache中。Cache初始为空,采用LRU替换算法,当访问主存的10个地址依次为0,4,8,2,0,6,8,6,4,8时,命中Cache的次数共有3次,分别发生在第7、8和10步时。
60某计算机的控制器采用微程序控制方式,微指令中的操作控制字段采用字段直接编码法,共有33个微命令,构成5个互斥类,分别包含7、3、12、5和6个微命令,则操作控制字段至少有( )。[2012年联考真题]
A.5位
B.6位
C.15位
D.33位
【答案】C
【解析】33个微命令分成5个互斥类(即5个字段),根据每个类中微命令的多少可以分别确定字段的长度为3、2、4、3、3位,又因为采用直接编码方式,所以它们之和3+2+4+3+3=15也就是操作控制字段的位数。
61下列说法正确的是( )
A.微程序计数器(μPC)可以用微地址寄存器(μMAR)来代替
B.机器的速度由主频决定
C.每条指令和每个微操作所需的执行时间是相同的。
D.程序计数器(PC)可以用存储器地址寄存器(MAR)来代替
【答案】A
【解析】在微程序控制器中不可以用MAR来代替PC。因为控存中只有微指令,为了降低成本,可以用具有计数功能的微地址寄存器(μMAR)来代替μPC。而主存中既有指令又有数据,它们都以二进制代码形式出现,取指令和数据时地址的来源是不同的。
取指令:(PC)→MAR
取数据:地址形成部件→MAR
所以,不能用MAR代替PC。
62某同步总线的时钟频率为l00MHz,宽度为32位,地址/数据线复用,每传输一个地址或数据占用一个时钟周期。若该总线支持突发(猝发)传输方式,则一次“主存写”总线事务传输l28位数据所需要的时间至少是( )。[2012年联考真题]
A.20ns
B.40ns
C.50ns
D.80ns
【答案】C
【解析】总线的时钟频率为l00MHz,则时钟周期为10ns。数据是128位,总线宽度是32位,所以需要4个时钟周期,而传输地址还需要一个周期,所以传输一个128位的数据至少需要5个时钟周期,所以至少需要10ns*5=50ns。
63下列关于USB总线特性的描述中,错误的是(
)。[2012年联考真题]
A.可实现外设的即插即用和热插拔
B.可通过级联方式连接多台外设
C.是一种通信总线,可连接不同外设
D.同时可传输2位数据,数据传输率高
【答案】D
【解析】USB总线即通用串行总线,它的特点有:(1)即插即用;(2)热插拔;(3)有很强的链接能力能将所有外设链接起来,且不损失带宽;(4)有很好的可扩展性;(5)高速传输,速度可达480Mbps。所有A,B,C都符合USB总线的特点。对于选项D,USB是串行总线,不能同时传输两位数据,所以答案为D。
64下列关于RISC的叙述中,错误的是(
)。
A.RISC普遍采用微程序控制器
B.RISC大多数指令在一个时钟周期内完成
C.RISC的内部通用寄存器数量相对CISC多
D.RISC的指令数、寻址方式和指令格式种类相对CISC少
【答案】A。
【解析】BCD三项都是RISC的特点之一,所以它们都是正确的,只有A项是错误的,因为RISC的速度快,所以普遍采用硬布线控制器,而非微程序控制器。
65下列选项中,在I/O总线的数据线上传输的信息包括( )。[2012年联考真题]
Ⅰ.I/O接口中的命令字 Ⅱ.I/0接口中的状态字 Ⅲ.中断类型号
A.仅Ⅰ、Ⅱ
B.仅Ⅰ、Ⅲ
C.仅Ⅱ、Ⅲ
D.Ⅰ、Ⅱ、Ⅲ
【答案】D
【解析】在I/O总线的数据线上传输的信息包括I/O接口中的命令字、状态字以及真正的数据,而中断类型号也是通过数据线传输的。
66响应外部中断的过程中,中断隐指令完成的操作,除保护断点外,还包括( )。[2012年联考真题]
Ⅰ.开关中断 Ⅱ.保存通用寄存器的内容 Ⅲ.形成中断服务程序入口地址并送PC
A.仅Ⅰ、Ⅱ
B.仅Ⅰ、Ⅲ
C.仅Ⅱ、Ⅲ
D.Ⅰ、Ⅱ、Ⅲ
【答案】B
【解析】中断隐指令完成的操作有3个:①保存断点;②关中断;③引出中断服务程序(形成中断服务程序入口地址并送PC)。而保存通用寄存器内容的操作是由软件来实现,不是由中断隐指令实现的。
67相对于微程序控制器,硬布线控制器的特点是( )。
A.指令执行速度慢,指令功能的修改和扩展容易
B.指令执行速度慢,指令功能的修改和扩展难
C.指令执行速度快,指令功能的修改和扩展容易
D.指令执行速度快,指令功能的修改和扩展难
【答案】D。
【解析】在同样的半导体工艺条件下,硬布线(组合逻辑)控制器的速度比微程序控制器的速度快。这是因为硬布线控制器的速度主要取决于逻辑电路的延迟,而微程序控制器增加了一级控制存储器,执行每条微指令都要从控存中读取,影响了速度。
68下列选项中,描述浮点数操作速度指标的是( )。[2011年联考真题]
A.MIPS
B.CPI
C.IPC
D.MFLOPS
【答案】D
【解析】MFLOPS(Million Floating-point
Operations per Second)表示每秒执行多少百万次浮点运算,用来描述计算机的浮点运算速度,适用于衡量处理机的性能。
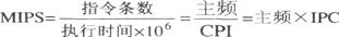
MIPS(Million Instructions per Second)表示每秒执行多少百万条指令。对于一个给定的程序,MIPS定义为

这里所说的指令一般是指加、减运算这类短指令。
CPI(Cycles per Instruction)就是每条指令执行所用的时钟周期数。由于不同指令的功能不同,造成指令执行时间不同,也即指令执行所用的时钟数不同,所以CPI是一个平均值。
IPC(Instructions per Cycle)每个时钟周期执行的指令数。

69float型数据通常用IEEE754单精度浮点数格式表示。若编译器将float型变量x分配在一个32位浮点寄存器FRl中,且x=-8.25,则FR1的内容是( )。[2011年联考真题]
A.C1040000H
B.C2420000H
C.C1840000H
D.C1C20000H
【答案】A
【解析】首先将十进制数转换为二进制数-1000.01,接着把它写成规格化形式-1.00001×23(按IEEE754标准),然后计算阶码的移码=偏置值+阶码真值=127+3=130,最后短浮点数代码:数符位=1,阶码=10000010,尾数00001000000000000000000,写成十六进制为C1040000H。D项是一个很容易被误选的选项,其错误在于没有考虑IEEE754标准中隐含最高位1的情况,偏置值是128。
70浮点数的阶码通常采用移码的原因是(
)。
A.移码的大小直观反映了真值的大小
B.便于比较浮点数的大小
C.简化机器中的判零电路
D.以上都是
【答案】D
【解析】浮点数的阶码通常采用移码的主要原因有两个:
(1)便于比较浮点数的大小。移码的大小直观反映了真值的大小,不必考虑符号问题,阶码大的,其对应的真值就大;阶码小的,对应的真值就小。
(2)简化机器中的判零电路。当阶码全为0,尾数也全为0时,表示机器零。当浮点数结果的阶码
而尾数
时,将这个数据当作机器零处理。如果使用移码表示阶码,则阶码的形式为00…00;如果使用补码表示阶码,则阶码的形式为10…00。
71下列各类存储器中,不采用随机存取方式的是( )。[2011年联考真题]
A.EPROM
B.CDR0M
C.DRAM
D.SRAM
【答案】B
【解析】随机存取方式是指存储器的任何一个存储单元的内容都可以存取,而且存取时间与存储单元的物理位置无关。CDROM是只读的光盘存储器,采用串行存取方式而不是随机存取方式。
72某计算机存储器按字节编址,主存地址空间大小为64MB,现用4M×8位的RAM芯片组成32MB的主存储器,则存储器地址寄存器MAR的位数至少是(
)。[2011年联考真题]
A.22位
B.23位
C.25位
D.26位
【答案】D
【解析】虽然实际的主存储器(RAM区)只有32MB,但不排除还有ROM区,考虑到存储器扩展的需要,MAR应保证能访问到整个主存地址空间。因为主存的地址空间大小为64MB,所以MAR的位数至少需要26位。
73浮点数加、减运算一般包括对阶、尾数运算、规格化、舍人和判溢出等步骤。设浮点数的阶码和尾数均采用补码表示,且位数分别为5位和7位(均含2位符号位)。若有两个数X=27×29/32,Y=25×5/8,则用浮点加法计算X+Y的最终结果是( )。
A.001111100010
B.001110100010
C.010000010001
D.发生溢出
【答案】D。
【解析】浮点数加、减运算一般包括对阶、尾数运算、规格化、舍入和判溢出等步骤。第一步,对阶:第一个数X=27×29/32,浮点数格式为001110011101,第二个个数Y=25×5/8,浮点数格式001010010100。对阶原则是小阶向大阶看齐,MY右移两位,Ey
+2,浮点数格式为001110000101。第二步,尾数相加:Mz
=Mx + MY =0100010,浮点数格式为001110100010。第三步,结果规格化:尾数需要进行一次右规,才能变成规格化数,Mz右移一位,Ez+1,浮点数格式为010000010001。第四步,判溢出:由于阶码符号位不同,所以发生溢出。
此题很容易误选为BC两项。这是因为BC两项本身并没有计算错误,只是它们不是最终结果,B项少了第三和第四步,C项少了第四步。
74偏移寻址通过将某个寄存器内容与一个形式地址相加而生成有效地址。下列寻址方式中,不属于偏移寻址方式的是( )。[2011年联考真题]
A.间接寻址
B.基址寻址
C.相对寻址
D.变址寻址
【答案】A
【解析】在四种不同的寻址方式中,间接寻址按指令的形式地址从主存中取出操作数的有效地址,然后再按此有效地址从主存中读出操作数。其余三种寻址方式可以统称为偏移寻址。
75某机器有一个标志寄存器,其中有进位/借位标志CF、零标志ZF、符号标志SF和溢出标志OF,条件转移指令bgt(无符号整数比较大于时转移)的转移条件是(
)。[2011年联考真题]
A.CF+OF=0
B.SF+ZF=0
C.CF+ZF=0
D.CF+SF=0
【答案】C
【解析】判断无符号整数A>B成立,满足的条件是结果不等于0,即零标志ZF=0,且不发生进位,即进位/借位标志CF=0。所以正确选项为C。其余选项中用到了符号标志SF和溢出标志OF,显然可以排除掉。
76一个C语言程序在一台32位机器上运行。程序中定义了3个变量x、y和z,其中x和z为int型,y为short型。当z=127,y=-9时,执行赋值语句z=x+y后,x、y和z的值分别是( )。
A.x=0000007FH,y=FFF9H,z=00000076H
B.x=0000007FH,y=FFF9H,z=FFFF0076H
C.z=O000007FH,y=FFF7H,z=FFFF0076H
D.z=0000007FH,y=FFF7H,z=00000076H
【答案】D。
【解析】当两个不同长度的数据,要想通过算术运算得到正确的结果,必须将短字长数据转换成长字长数据,这称为“符号扩展”。x和z为int型,数据长32位,y为short型,数据长16位,均用补码表示。因为x=127D=1111111B,y=-9D=-1001B,所以有x=0000007FH,y=FFF7H。执行赋值语句z=x+y,y需要扩展符号位之后,再与x相加,z=x+y=0000007F+ FFFFFFF7H =00000076H。
77下列给出的指令系统特点中,有利于实现指令流水线的是( )。[2011年联考真题]
Ⅰ.指令格式规整且长度一致
Ⅱ.指令和数据按边界对齐存放
Ⅲ.只有Load/Store指令才能对操作数进行存储访问
A.仅Ⅰ、Ⅱ
B.仅Ⅱ、Ⅲ
C.仅Ⅰ、Ⅲ
D.Ⅰ、Ⅱ、Ⅲ
【答案】D
【解析】特点Ⅰ和Ⅲ都是RISC机的特征,而特点Ⅱ则有利于指令和数据的存放,所以以上三个特点都有利于实现指令流水线。
78假定不采用Cache和指令预取技术,且机器处于“开中断”状态,则在下列有关指令执行的叙述中,错误的是( )。.[2011年联考真题]
A.每个指令周期中CPU都至少访问内存一次
B.每个指令周期一定大于或等于一个CPU时钟周期
C.空操作指令的指令周期中任何寄存器的内容都不会被改变
D.当前程序在每条指令执行结束时都可能被外部中断打断
【答案】C
【解析】本题涉及的概念比较多。首先,如果不采用Cache和指令预取技术,每个指令周期中至少要访问内存一次,即从内存中取指令。其次,指令有的简单有的复杂,每个指令周期总大于或等于一个CPU时钟周期。第三,即使是空操作指令,在指令周期中程序计数器PC的内容也会改变(PC值加“1”),为取下一条指令做准备。第四,如果机器处于“开中断”状态,在每条指令执行结束时都可能被新的更高级的中断请求所打断。所以应选择选项C。
79在系统总线的数据线上,不可能传输的是( )。[2011年联考真题]
A.指令
B.操作数
C.握手(应答)信号
D.中断类型号型号
【答案】C
【解析】握手(应答)信号属于通信联络控制信号应该在通信总线上传输,不可能在数据总线上传输。而指令、操作数和中断类型码都可以在数据线上传输。
80若使用的存储芯片为动态RAM,(设刷新周期为
),推算16K×1位双译码结构存储芯片的存储体阵列的行列数和实际刷新时间( )。
A.128、128、128µs
B.14、14、128µs
C.14、14、64µs
D.128、128、64µs
【答案】D
【解析】16K×1位存储芯片的存储阵列是行数和列数分别为128的方阵。
若使用的存储芯片为动态RAM,则必须进行刷新,刷新是一行一行进行。所以该存储器的实际刷新时间为64µs。
81某计算机有五级中断L4~L0,中断屏蔽字为M4M3M2M1M0,Mi=1(0≤i≤4)表示对Li级中断进行屏蔽。若中断响应优先级从高到低的顺序是L0→L1→L2→L3→L4,且要求中断处理优先级从高到低的顺序为L3→L0→L2→L1→L3,则L1的中断处理程序中设置的中断屏蔽字是( )。[2011年联考真题]
A.11110
B.01101
C.00011
D.01010
【答案】D
【解析】由于L2的中断处理优先级下降,屏蔽字中需要3个0,所以可以将AB两项排除掉。L1需要对L4、L0、L2开放,所以相应位应该为“0”,即为01010。
82某计算机处理器主频为50MHz,采用定时查询方式控制设备A的I/O,查询程序运行一次所用的时钟周期数至少为500。在设备A工作期间,为保证数据不丢失,每秒需对其查询至少200次,则CPU用于设备A的I/O的时间占整个CPU时间的百分比至少是(
)。[2011年联考真题]
A.0.02%
B.0.05%
C.0.20%
D.0.50%
【答案】C
【解析】对于设备A,每秒中查询至少200次,每次查询至少500个时钟周期,总的时钟周期数为100000,又因为处理器主频为50MHz。所以CPU用于设备A的I/O的时间占整个CPU时间的百分比至少为100000/50=0.20%。
83一台8位微机的地址总线为16条,其RAM存储器容量为32KB,首地址为4000H,且地址是连续的。问可用的最高地址是( )
A.7FFF
B.BFFF
C.EFFF
D.FFFF
【答案】B
【解析】若32KB的存储地址起始单元为0000H,则可知32KB存储空间共占用15条地址线,其范围应为0000~7FFFH,但现在的首地址为4000H,即首地址后移了,因此最高地址应为4000H+7FFFH=BFFFH。
84下列选项中,能缩短程序执行时间的措施是( )。[2010年联考真题]
Ⅰ.提高CPU时钟频率
Ⅱ.优化数据通路结构
Ⅲ.对程序进行编译优化
A.仅Ⅰ和Ⅱ
B.仅Ⅰ和Ⅲ
C.仅Ⅱ和Ⅲ
D.Ⅰ、Ⅱ和Ⅲ
【答案】D
【解析】一般说来,CPU时钟频率(主频)越高,CPU的速度就越快;优化数据通路结构,可以有效提高计算机系统的吞吐量;编译优化可得到更优的指令序列。所以Ⅰ、Ⅱ、Ⅲ都是有效措施。
85假定有4个整数用8位补码分别表示为r1=FEH,r2=F2H,r3=90H,r4=F8H。若将运算结果存放在一个8位寄存器中,则下列运算会发生溢出的是( )。[2010年联考真题]
A.r1×r2
B.r2×r3
C.r1×r4
D.r2×r4
【答案】B
【解析】用补码表示时8位寄存器所能表示的整数范围为-128~+127。现在4个整数都是负数,r1=-2,r2=-l4,r3=-ll2,r4=-8,在4个选项中,只有r2×r3=1568,结果溢出,其余3个算式结果都未超过127,不发生溢出。
86假设某计算机的存储系统由cache和主存组成。某程序执行过程中访存1000次,其中访问cache缺失(未命中)50次,则cache的命中率是(
)。
A.5%
B.9.5%
C.50%
D.95%
【答案】D。
【解析】cache的命中率H
,程序访存次数(包括访问cache的次数和访存主存的次数)为=1000次,其中访问cache的次数N1为访存次数减去失效次数(1000-50=950)。所以H
87假定变量i、f和d的数据类型分为int、float和double(int用补码表示,float和double分别用IEEE754单精度和双精度浮点数格式表示),已知i=785,f=1.5678e3,d=1.5e100。若在32位机器中执行下列关系表达式,则结果为“真”的是( )。[2010年联考真题]
(Ⅰ)i==(int)(float)i
(Ⅱ)f==(float)(int)f
(Ⅲ)f==(float)(double)f
(IV)(d+f)-d==f
A.仅Ⅰ和Ⅱ
B.仅Ⅰ和Ⅲ
C.仅Ⅱ和Ⅲ
D.仅Ⅲ和Ⅳ
【答案】B
【解析】数据类型不同的数据在运算之前需要进行数据类型的转换。Ⅱ中,f的数据类型从float转换为int时,小数点后面4位会丢失,故Ⅱ的结果不为真;Ⅳ中,d+f时需要对阶,对阶后f的尾数有效位被舍去而变为0,故d+f仍然为d,再减去d后结果为0,故Ⅳ的结果也不为真。Ⅰ和Ⅱ进行数据类型的转换的时候并没有改变其值。
88假定用若干个2K×4位的芯片组成一个8K×8位的存储器,则地址0B1FH所在芯片的最小地址是( )。[2010年联考真题]
A.0000H
B.0600H
C.0700H
D.0800H
【答案】D
【解析】由若干芯片构成存储器,采用字和位同时扩展方法。8片2K×4位的芯片分成4组,每组2个芯片,各组芯片的地址分配分别为:第l组,0000H~07FFH;第2组,0800H~0FFFH;第3组,l000H~17FFH;第4组,l800H~1FFFH。地址0BIFH处于第2组内,其芯片的最小地址为0800H。
89某计算机主存容量为64KB,其中ROM区为4KB,其余为RAM区,按字节编址。现要用2K×8的ROM芯片和4K×4的RAM芯片来设计该存储器,则需要上述规格的ROM芯片数和RAM芯片数分别是( )。
A.1,15
B.2,15
C.1,30
D.2,30
【答案】D。
【解析】ROM区为4KB,选用2K×8的ROM芯片,需要2片,采用字扩展方式;60KB的RAM区,选用4K×4的RAM芯片,需要30片,采用字和位同时扩展方式。
90下列有关RAM和ROM的叙述中,正确的是( )。[2010年联考真题]
Ⅰ.RAM是易失性存储器,ROM是非易失性存储器
Ⅱ.RAM和ROM都采用随机存取方式进行信息访问
Ⅲ.RAM和ROM都可用作Cache
Ⅳ.RAM和ROM都需要进行刷新
A.仅Ⅰ和Ⅱ
B.仅Ⅱ和Ⅲ
C.仅Ⅰ、Ⅱ和Ⅳ
D.仅Ⅱ、Ⅲ和Ⅳ
【答案】A
【解析】RAM中的内容断电后即丢失(易失性),ROM中的内容断电后不会丢失(非易失性),同时RAM和ROM都采用随机存取方式(即CPU对任何一个存储单元的存取时间相同),区别在于RAM可读可写,ROM只读不写。而ROM显然不可用作Cache,也不需要刷新,所以Ⅲ和Ⅳ的叙述都是错误的。
91下列命中组合情况中,一次访存过程中不可能发生的是( )。[2010年联考真题]
A.TLB未命中,Cache未命中,Page未命中
B.TLB未命中,Cache命中,Page命中
C.TLB命中,Cache未命中,Page命中
D.TLB命中,Cache命中,Page未命中
【答案】D
【解析】TLB(快表)和慢表(页表,Page)构成二级存储系统,若TLB命中,则Page必命中。因此不可能发生的是D选项。
92某个系统拥有48位的虚拟地址和36位的物理地址,并且主存储器的容量为128MB。如果系统中使用的页的大小为4096字节,则该地址空间能够支持的虚页数和实页数分别为( )
A.236个虚页、224个实页
B.236个虚页、212个实页
C.224个虚页、224个实页
D.224个虚页、212个实页
【答案】A
【解析】4096=212,所以虚拟地址和物理地址中的低12位被用作页内地址字段,虚页号的长度为48-12=36,所以虚拟地址空间能支持236个虚页;而实页号的长度为36-12=24,所以物理地址空间能支持224个实页。主存储器的页框数即主存中可同时包含的页数,即128MB÷4KB=32768。
93下列寄存器中,汇编语言程序员可见的是( )。[2010年联考真题]
A.存储器地址寄存器(MAR)
B.程序计数器(PC)
C.存储器数据寄存器(MDR)
D.指令寄存器(IR)
【答案】B
【解析】CPU有5个专用寄存器,它们是程序计数器(PC)、指令寄存器(IR)、存储器地址寄存器(MAR)、存储器数据寄存器(MBR)和状态标志寄存器(PSWR),这些寄存器中有些是CPU的内部工作寄存器,对汇编语言程序员来说是透明的,在汇编语言程序设计中不会出现。但汇编语言程序员可以通过制定待执行指令的地址来设置PC的值,所以程序计数器(PC)对于汇编语言程序员可见的。
94下列选项中,不会引起指令流水线阻塞的是( )。[2010年联考真题]
A.数据旁路(转发)
B.数据相关
C.条件转移
D.资源冲突
【答案】A
【解析】由于采用流水线方式,相邻或相近的两条指令可能会因为存在某种关联,后一条指令不能按照原指定的时钟周期运行,从而使流水线断流。有三种相关可能引起指令流水线阻塞:
①结构相关,又称资源相关;
②数据相关;
③控制相关,又称指令相关,主要由转移指令引起。
95计算机的cache共有16块,采用2路组相联映射方式(即每组2块)。每个主存块大小为32字节,按字节编址。主存129号单元所在主存块应装入到的cache组号是( )。
A.0
B.2
C.4
D.4
【答案】B、C
【解析】由于每个主存块大小为32字节,按字节编址。根据计算主存块号的公式,主存块号
=
所以主存129号单元所在的主存块应为第4块。若cache共有16块,采用2路组相联映射方式,可分为8组。根据组相联映像的映射关系,主存第4块转入cache第4组。
目前对于组相联具体映射方法,在不同的书上有不同的说法,详见本章重点难点梳理17,所以这道题的B项也可以认为是正确的。其主要区别在于主存地址字段上,若主存地址被分为标记、组号、块内地址3字段结构,正确答案是C;若主存地址被分为区号、组号、组内块号、块内地址4字段结构,正确答案是B。
96下列选项中的英文缩写均为总线标准的是( )。[2010年联考真题]
A.PCI、CRT、USB、EISA
B.ISA、CPI、VESA、EISA
C.ISA、SCSl、RAM、MIPS
D.ISA、EISA、PCI、PCI-Express
【答案】D
【解析】选项A中的CRT和USB、选项B中的CPI、选项C中的RAM和MIPS均不是总线标准的英文缩写,只有选项D中的英文缩写均为总线标准。
97单级中断系统中,中断服务程序内的执行顺序是( )。[2010年联考真题]
Ⅰ保护现场;Ⅱ开中断;Ⅲ关中断;Ⅳ保存断点;Ⅴ中断事件处理;Ⅵ恢复现场;Ⅶ中断返回
A.Ⅰ→Ⅴ→Ⅵ→Ⅱ→Ⅷ
B.Ⅲ→Ⅰ→Ⅴ→Ⅶ
C.Ⅲ→Ⅳ→Ⅴ→Ⅵ→Ⅶ
D.Ⅳ→Ⅰ→Ⅴ→Ⅵ→Ⅶ
【答案】A
【解析】程序中断有单级中断和多级中断之分,单级中断在CPU执行中断服务程序的过程中不能被打断,即不允许中断嵌套。保存断点与关中断的任务是由硬件(中断隐指令)完成的,所以在单级中断系统中,中断服务程序内应完成的任务有:①保存现场;②中断事件处理;③恢复现场;④开中断;⑤中断返回。
98冯·诺依曼计算机中指令和数据均以二进制形式存放在存储器中,CPU区分它们的依据是(
)。
A.指令操作码的译码结果
B.指令和数据的寻址方式
C.指令周期的不同阶段
D.指令和数据所在的存储单元
【答案】C。
【解析】在冯·诺依曼结构计算机中指令和数据均以二进制形式存放在同一个存储器中,CPU可以根据指令周期的不同阶段来区分是指令还是数据,通常在取指阶段取出的是指令,其他阶段取出的是数据。区分指令和数据还有一个方法,即取指令和取数据时地址的来源是不同的,指令地址来源于程序计数器PC,而数据地址来源于地址形成部件或指令的地址码字段。
本题较容易误选为A,需要搞清楚的是,CPU只有在确定取出的是指令之后,才会将其操作码部分送去译码,因此是不可能依据译码的结果来区分指令和数据的。
99假定一台计算机的显示存储器用DRAM芯片实现,若要求显示分辨率为1600×1200,颜色深度为24位,帧频为85Hz,显存总带宽的50%用来刷新屏幕,则需要的显存总带宽至少约为( )。[2010年联考真题]
A.245Mbps
B.979Mbps
C.1958Mbps
D.7834Mbps
【答案】D
【解析】显存的容量=分辨率×色深,带宽=分辨率×色深×帧频,考虑到50%的时间用来刷新屏幕,故显存总带宽应加倍。所以需要的显存总带宽至少约为:1600×1200×24×85×2=7834Mbps。
100冯·诺依曼计算机中指令和数据均以二进制形式存放在存储器中,CPU区分它们的依据是(
)。[2009年联考真题]
A.指令操作码的译码结果
B.指令和数据的寻址方式
C.指令周期的不同阶段
D.指令和数据所在的存储单元
【答案】C
【解析】在冯·诺依曼结构计算机中指令和数据均以二进制形式存放在同一个存储器中,CPU可以根据指令周期的不同阶段来区分是指令还是数据,通常在取指阶段取出的是指令,其他阶段(分析取数阶段、执行阶段)取出的是数据。所以,CPU区分指令和数据的依据是指令周期的不同阶段。
101下列关于RISC的叙述中,错误的是(
)。
A.RISC普遍采用微程序控制器
B.RISC大多数指令在一个时钟周期内完成
C.RISC的内部通用寄存器数量相对CISC多
D.RISC的指令数、寻址方式和指令格式种类相对CISC少
【答案】A。
【解析】BCD三项项都是RISC的特点之一,所以它们都是正确的,只有A项是错误的,因为RISC的速度快,所以普遍采用硬布线控制器,而非微程序控制器。
102一个C语言程序在一台32位机器上运行。程序中定义了3个变量x、Y和z,其中x和z为int型,Y为short型。当x=127,Y=-9时,执行赋值语句z=x+Y后,x、Y和z的值分别是( )。[2009年联考真题]
A.x=0000007FH,Y=FFF9H,z=00000076H
B.x=0000007FH,Y=FFF9H,z=FFFF0076H
C.x=0000007FH,Y=FFF7H,z=FFFF0076H
D.x=0000007FH,Y=FFF7H,z=00000076H
【答案】D
【解析】当两个不同长度的数据,要想通过算术运算得到正确的结果,必须将短字长数据转换成长字长数据,这被称为“符号扩展”。例如,x和z为int型,数据长32位,Y为short型,数据长16位,因此首先应将y转换成32位的数据,然后再进行加法运算。
运算采用补码的形式,而x的补码是0000007FH,Y的补码是FFFFFFF7H,所以x+Y=00000076H
。
103浮点数加、减运算一般包括对阶、尾数运算、规格化、舍入和判溢出等步骤。设浮点数的阶码和尾数均采用补码表示,且位数分别为5位和7位(均含2位符号位)。若有两个数X=27×29/32,Y=25×5/8,则用浮点加法计算X+Y的最终结果是( )。[2009年联考真题]
A.001111100010
B.001110100010
C.010000010001
D.发生溢出
【答案】D
【解析】浮点数加、减运算一般包括对阶、尾数运算、规格化、舍入和判溢出等步骤,难点在对阶、规格化、判溢出这三步。X和Y的阶码不同,所以应该先对阶,对阶原则为:小阶向大阶看齐。因此将Y对阶后得到:Y=27×5/32,然后将尾数相加,得到尾数之和为:34/32。因为这是两个同号数相加,尾数大于1,则需要右规,阶码加1。由于阶码的位数为5位,且含两位符号位,即阶码的表示范围在-8~+7之间。而阶码本身等于7,再加1就等于8。因此,最终结果发生溢出。
104某计算机的指令流水线由4个功能段组成,指令流经各功能段的时间(忽略各功能段之间的缓存时间)分别为90ns、80ns、70ns和60ns,则该计算机的CPU时钟周期至少是( )。
A.90ns
B.80ns
C.70ns
D.60ns
【答案】A。
【解析】这个指令流水线的各功能段执行时间是不相同的。由于各功能段的时间不同,计算机的CPU时钟周期应当以最长的功能段执行时间为准,也就是说,当流水线充满之后,每隔90ns可以从流水线中流出一条指令(假设不存在断流)。
105某计算机的Cache共有16块,采用2路组相联映射方式(即每组2块)。每个主存块大小为32字节,按字节编址。主存129号单元所在主存块应装入到的Cache组号是( )。[2009年联考真题]
A.0
B.2
C.4
D.6
【答案】C
【解析】首先根据主存地址计算所在的主存块号,然后根据组相联映射的映射关系K=I mod Q(K代表Cache的组号,I代表主存的块号,Q代表Cache的组数)来计算Cache的组号。由于每个主存块大小为32字节,按字节编址,那么主存129号单元所在的主存块号是4,Cache共有16块,采用2路组相联映射方式(即每组2块),故Cache有8组,按照上面的公式可以计算得到Cache的组号=4 mod 8=4。
106某计算机主存容量为64 KB,其中ROM区为4
KB,其余为RAM区,按字节编址。现要用2 K×8位的ROM芯片和4 K×4位的RAM芯片来设计该存储器,则需要上述规格的ROM芯片数和RAM芯片数分别是( )。[2009年联考真题]
A.1、15
B.2、15
C.1、30
D.2、30
【答案】D
【解析】主存储器包括RAM和ROM两部分,由于ROM区为4KB,则RAM区为60KB。存储容量的扩展方法有字扩展、位扩展、字和位同时扩展三种。选用2K×8位的ROM芯片,只需采用2片芯片进行字扩展便可得到4KB的ROM区;选用4K×4位的RAM芯片,需采用(60)/4*2片芯片进行字和位同时扩展便可得60KB的RAM区。
107相对于微程序控制器,硬布线控制器的特点是( )。
A.指令执行速度慢,指令功能的修改和扩展容易
B.指令执行速度慢,指令功能的修改和扩展难
C.指令执行速度快,指令功能的修改和扩展容易
D.指令执行速度快,指令功能的修改和扩展难
【答案】D。
【解析】在同样的半导体工艺条件下,硬布线(组合逻辑)控制器的速度比微程序控制器的速度快。这是因为硬布线控制器的速度主要取决于逻辑电路的延迟,而微程序控制器增加了一级控制存储器,执行每条微指令都要从控存中读取,影响了速度。
108某机器字长16位,主存按字节编址,转移指令采用相对寻址,由两个字节组成,第1字节为操作码字段,第2字节为相对位移量字段。假定取指令时,每取一个字节PC自动加1。若某转移指令所在主存地址为2000H,相对位移量字段的内容为06H,则该转移指令成功转移后的目标地址是( )。[2009年联考真题]
A.2006H
B.2007H
C.2008H
D.2009H
【答案】C
【解析】相对寻址方式的有效地址EA=(PC)+D,其中PC为程序计数器,D为相对偏移量。主存按字节编址,取指令时,每取一个字节PC值自动加1。由于转移指令由两个字节组成,取出这条转移指令之后的PC值自动加2,为2002H,故转移的目标地址为2002H+06H=2008H。
109下列关于RISC的叙述中,错误的是(
)。[2009年联考真题]
A.RISC普遍采用微程序控制器
B.RISC大多数指令在一个时钟周期内完成
C.RISC的内部通用寄存器数量相对CISC多
D.RISC的指令数、寻址方式和指令格式种类相对CISC少
【答案】A
【解析】B项、C项、D项都是RISC的特点之一,所以它们都是正确的,只有A项是CISC的特点,因为RISC的速度快,所以普遍采用硬布线控制器,而非微程序控制器。
110下列选项中,能引起外部中断的事件是( )。
A.键盘输入
B.除数为0
C.浮点运算下溢
D.访存缺页
【答案】A。
【解析】在这4个选项中,除键盘输入以外,其余3个选项都不是外部事件引起的中断。BC两项的中断源是运算器,D项的中断源是存储器。
111某计算机的指令流水线由4个功能段组成,指令流经各功能段的时间(忽略各功能段之间的缓存时间)分别为90ns、80ns、70ns和60ns,则该计算机的CPU时钟周期至少是( )。[2009年联考真题]
A.90ns
B.80ns
C.70ns
D.60ns
【答案】A
【解析】对于各功能段执行时间不同的指令流水线,计算机的CPU时钟周期应当以最长的功能段执行时间为准。
112相对于微程序控制器,硬布线控制器的特点是( )。[2009年联考真题]
A.指令执行速度慢,指令功能的修改和扩展容易
B.指令执行速度慢,指令功能的修改和扩展难
C.指令执行速度快,指令功能的修改和扩展容易
D.指令执行速度快,指令功能的修改和扩展难
【答案】D
【解析】在同样的半导体工艺条件下,硬布线(组合逻辑)控制器的速度比微程序控制器的速度快。这是因为硬布线控制器的速度主要取决于逻辑电路的延迟,而微程序控制器增加了一级控制存储器,执行的每条微指令都要从控制存储器中读取,影响了速度。由于硬布线控制器一旦设计完成就很难改变,所以指令功能的修改和扩展难。因此,硬布线控制器的特点是指令执行速度快,指令功能的修改和扩展难。
113假设某系统总线在一个总线周期中并行传输4字节信息,一个总线周期占用2个时钟周期,总线时钟频率为10MHz,则总线带宽是(
)。
A.10MB/s
B.20MB/s
C.40MB/s
D.80MB/s
【答案】B。
【解析】因为一个总线周期占用2个时钟周期,完成一个32位数据的传送。总线时钟频率为10MHz,时钟周期为0.1μs,总线周期占用2个时钟周期,为0.2μs。一个总线周期中 并行传输4字节信息,则总线带宽是4÷0.2=20MB/s。
114假设某系统总线在一个总线周期中并行传输4字节信息,一个总线周期占用2个时钟周期,总线时钟频率为10MHz,则总线带宽是(
)。[2009年联考真题]
A.10MB/s
B.20MB/s
C.40MB/s
D.80MB/s
【答案】B
【解析】因为一个总线周期占用2个时钟周期,完成一个32位数据的传送。总线时钟频率为10MHz,时钟周期为0.1μs,总线周期占用2个时钟周期,为0.2μs。一个总线周期中并行传输4字节信息,则总线带宽是4B÷0.2μs =20MB/s。
115假设某计算机的存储系统由Cache和主存组成。某程序执行过程中访存1000次,其中访问Cache缺失(未命中)50次,则Cache的命中率是(
)。[2009年联考真题]
A.5%
B.9.5%
C.50%
D.95%
【答案】D
【解析】Cache的命中率H=N1/(N1+N2),其中N1为访问Cache的次数,N2为访存主存的次数,程序总访存次数为N1+N2,程序访存次数减去失效次数就是访问Cache的次数N1,。所以根据公式可得:H=(1000-50)/1000=95%。
116某机器字长16位,主存按字节编址,转移指令采用相对寻址,由两个字节组成,第一字节为操作码字段,第二字节为相对位移量字段。假定取指令时,每取一个字节PC自动加1。若某转移指令所在主存地址为2000H,相对位移量字段的内容为06H,则该转移指令成功转移后的目标地址是( )。
A.2006H
B.2007H
C.2008H

【答案】C。
【解析】主存按字节编址,取指令时,每取一个字节PC自动加1。由于转移指令指令系统字节组成,取出这条转移指令之后的PC值等于2002H,所以转移指令成功转移后的目标地址PC=2000H+2+06H=2008H.
此题容易误选A或B。原因是没有考虑PC值的自动更新,或虽然考虑了PC要自动更新,但没有注意到这条转移指令是一条2字节的指令,PC值仅仅+1而不是+2。
117下列选项中,能引起外部中断的事件是( )。[2009年联考真题]
A.键盘输入
B.除数为0
C.浮点运算下溢
D.访存缺页
【答案】A
【解析】所谓外部中断是指由外部事件引起的中断,在这4个选项中,只有键盘输入是真正由外部事件引起的中断。
获取方式:扫码关注下面公众号,关注后
回复关键词【清华大学826】或【清华大学计算机专业基础综合】
