考研真题
1. 全国名校计算机基础综合考研真题汇总
考研指导书
1. 严蔚敏《数据结构》(C语言版)典型习题和考研真题详解
2. 严蔚敏《数据结构》(C语言版)配套题库【考研真题精选(部分视频讲解)+章节题库】
3. 谢希仁《计算机网络》(第7版)配套题库【考研真题精选(部分视频讲解)+章节题库】
4. 2026年计算机组成原理考研题库【名校考研真题+经典教材课后习题+章节题库+模拟试题】
5. 2026年数据结构考研题库【名校考研真题+章节题库+模拟试题】

严蔚敏《数据结构》(C语言版)配套题库【考研真题精选(部分视频讲解)+章节题库】
书籍目录
第一部分 考研真题精选(部分视频讲解)
第二部分 章节题库

部分内容
第一部分 考研真题精选(部分视频讲解)
一、单项选择题
1若元素a,b,c,d,e,f依次进栈,允许进栈、退栈操作交替进行,但不允许连续三次进行退栈操作,则不可能得到的出栈序列是( )。[计算机统考(408)2010年研]
A.d,c,e,b,f,a
B.c,b,d,a,e,f
C.b,c,a,e,f,d
D.a,f,e,d,c,b
【答案】D
【解析】4个选项所给序列的进、出栈操作序列分别为:
选项A:Push,Push,Push,Push,Pop,Pop,Push,Pop,Pop,Push,Pop,Pop
选项B:Push,Push,Push,Pop,Pop,Push,Pop,Pop,Push,Pop,Push,Pop
选项C:Push,Push,Pop,Push,Pop,Pop,Push,Push,Pop,Push,Pop,Pop
选项D:Push,Pop,Push,Push,Push,Push,Push,Pop,Pop,Pop,Pop,Pop
按照题目要求,不允许连续三次进行退栈操作,所以选项D所给序列为不可能得到的出栈顺序。
2若一棵二叉树的前序遍历序列为a,e,b,d,c,后序遍历序列为b,c,d,e,a,则根结点的孩子结点( )。[计算机统考(408)2012年研]
A.只有e
B.有e、b
C.有e、c
D.无法确定
【答案】A
【解析】由题目可知,若一棵二叉树的前序遍历序列为a,e,b,d,c,后序遍历序列为b,c,d,e,a,其中a为这棵二叉树的根结点,接下来,在前序遍历的第二个结点为e,而后序遍历的倒数第二个结点为e,说明a的孩子结点只有e。
3循环队列放在一维数组A[0..M-1]中,end1指向队头元素,end2指向队尾元素的后一个位置。假设队列两端均可进行入队和出队操作,队列中最多能容纳M-1个元素。初始时为空,下列判断队空和队满的条件中,正确的是( )。[计算机统考(408)2014年研]
A.队空:end1==end2;队满:end1==(end2+1)mod M
B.队空:end1==end2;队满:end2==(end1+1)mod (M-1)
C.队空:end2==(end1+1)mod M;队满:end1==(end2+1) mod M
D.队空:end1==(end2+1)mod M;队满:end2==(end1+1) mod (M-1)
【答案】A
【解析】在循环队列中,在少用一个元素空间的前提下,可约定入队前,测试尾指针在循环意义下加1后是否等于头指针,若相等,则队满。而队空的条件还是首尾指针是否相等。
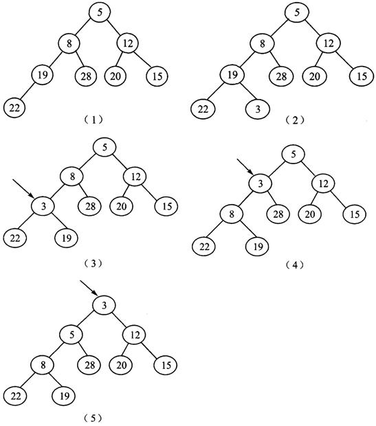
4已知关键字序列5,8,12,19,28,20,15,22是小根堆(最小堆),插入关键字3,调整后的小根堆是( )。[计算机统考(408)2009年研]
A.3,5,12,8,28,20,15,22,19
B.3,5,12,19,20,15,22,8,28
C.3,8,12,5,20,15,22,28,19
D.3,12,5,8,28,20,15,22,19
【答案】A
【解析】在堆中插入一个元素后,将不再满足堆的性质。为了使其成为新堆,需要重新调整剩余元素的位置。具体过程如图(1)~(5)所示,(1)为原堆,(2)为插入3后,(3)、(4)为调整过程,(5)为调整后的小根堆。

5下列选项中,不能构成折半查找中关键字比较序列的是( )。[计算机统考(408)2015年研]
A.500,200,450,180
B.500,450,200,180
C.180,500,200,450
D.180,200,500,450
【答案】A
【解析】折半查找要求线性表必须采用顺序存储结构,而且表中元素按关键字有序排列。折半查找的关键字序列满足:对每一个关键字,其后面的所有关键字序列或者都小于等于该关键字或者都大于等于该关键字。A项错误,第三次比较的关键字为450,说明待查关键字位于200~450间,所以第四次比较时不会遇到关键字180。
6已知字符串S为“abaabaabacacaabaabcc”,模式串t为“abaabc”,采用KMP算法进行匹配,第一次出现“失配”(s[i]!=t[i])时,i=j=5,则下次开始匹配时,i和j的值分别是( )。[计算机统考(408)2015年研]
A.i=1,j=0
B.i=5,j=0
C.i=5,j=2
D.i=6,j=2
【答案】C
【解析】模式匹配(KMP)算法对普通的暴力匹配的改进在于:每当匹配过程中匹配失败时,主串(本题为S)的指针(i)不需要回溯,而是利用已经得到的“部分匹配”的结果将模式串(t)向右“滑动”尽可能远的一段距离后,继续进行比较。模式串“滑动”的距离是由模式串(t)本身决定的,即t的子串t[0…j-1]中前缀串和后缀串相等的最长长度。本题中第一次失配i=5,字串为“abaab”,其相等且最长的前后缀为“ab”,一次下一个j=2。
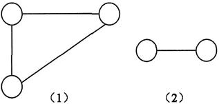
7下列关于无向连通图特性的叙述中,正确的是( )。[计算机统考(408)2009年研]
Ⅰ.所有的顶点的度之和为偶数
Ⅱ.边数大于顶点个数减1
Ⅲ.至少有一个顶点的度为1
A.只有Ⅰ
B.只有Ⅱ
C.Ⅰ和Ⅱ
D.Ⅰ和Ⅲ
【答案】A
【解析】在图中,顶点的度TD(Vi)之和与边的数目满足关系式:

其中,n为图的总结点数,e为总边数。因此,Ⅰ项正确。对于Ⅱ、Ⅲ项中的特性不是一般无向连通图的特性,可以轻松地举出反例。“至少有一个顶点的度为1”的反例如下图(1)所示,“边数大于顶点个数减1”的反例如下图(2)所示。

8下列叙述中,不符合m阶B树定义要求的是( )。[计算机统考(408)2009年研]
A.根结点最多有m棵子树
B.所有叶结点都在同一层上
C.各结点内关键字均升序或降序排列
D.叶结点之间通过指针链接
【答案】D
【解析】B树就是指B-树。根据B-树的定义,m阶B-树中每个结点最多有m个分支,因此,根结点最多有m棵子树,A项正确;B-树中所有叶结点都在最底层,位于同一层,B项正确;结点内各关键字互不相等且有序排列,C项正确。但是,所有叶子结点之间通过指针链接,是B+树的定义,而B-树中没有。因此,D项是错误的。
9排序过程中,对尚未确定最终位置的所有元素进行一遍处理称为一趟排序。下列排序方法中,每一趟排序结束时都至少能够确定一个元素最终位置的方法是( )。[计算机统考(408)2012年研]
Ⅰ.简单选择排序
Ⅱ.希尔排序
Ⅲ.快速排序
Ⅳ.堆排
Ⅴ.二路归并排序
A.仅Ⅰ、Ⅲ、Ⅳ
B.仅Ⅰ、Ⅱ、Ⅲ
C.仅Ⅱ、Ⅲ、Ⅳ
D.仅Ⅲ、Ⅳ、Ⅴ
【答案】A
【解析】其中简单选择排序、堆排序属于选择类排序,每一趟排序结束时将确定最大(或最小)关键字所在的位置。快速排序每一趟排序结束时将确定基准关键字所在的位置。希尔排序、二路归并排序每一趟排序结束时不一定能确定一个元素的最终位置。
获取方式:扫码关注下面公众号,关注后
回复关键词【清华大学826】或【清华大学计算机专业基础综合】
