考研真题
1. 浙江大学《842信号系统与数字电路》历年考研真题汇总(含部分答案)
2. 全国名校电路考研真题汇总(含部分答案)
3. 全国名校信号与系统考研真题
考研指导书
1. 奥本海姆《信号与系统》(第2版)笔记和课后习题(含考研真题)详解(上册)
2. 奥本海姆《信号与系统》(第2版)笔记和课后习题(含考研真题)详解(下册)
3. 阎石《数字电子技术基础》(第6版)笔记和课后习题(含考研真题)
4. 阎石《数字电子技术基础》(第6版)配套题库【考研真题精选+章节题库】

浙江大学《842信号系统与数字电路》历年考研真题汇总(含部分答案)
书籍目录
2013年浙江大学842信号系统与数字电路考研真题及详解
2012年浙江大学842信号系统与数字电路考研真题
2009年浙江大学842信号系统与数字电路考研真题
2008年浙江大学842信号系统与数字电路考研真题
2007年浙江大学842信号系统与数字电路考研真题
浙江大学2007年招收攻读硕士学位研究生入学考试试题
一、选择题(四选一,每题2分,共计20分)
2.的傅氏变换是:( )
A.1;
B.1/2;
C.;
D.
A.;
B.
C.时,且x[n]的周期为3;
C.时,且x[n]的周期为3/2;
二、简答题(共10分)
三、计算题(每题5分,共计15分)
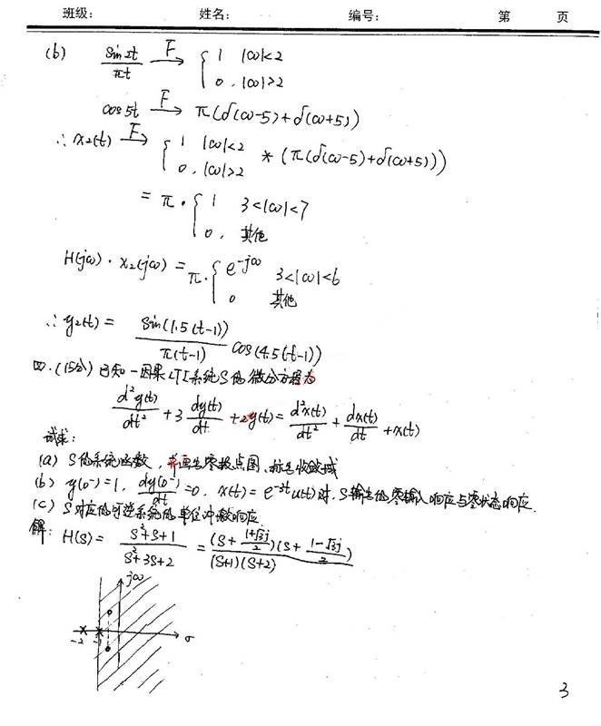
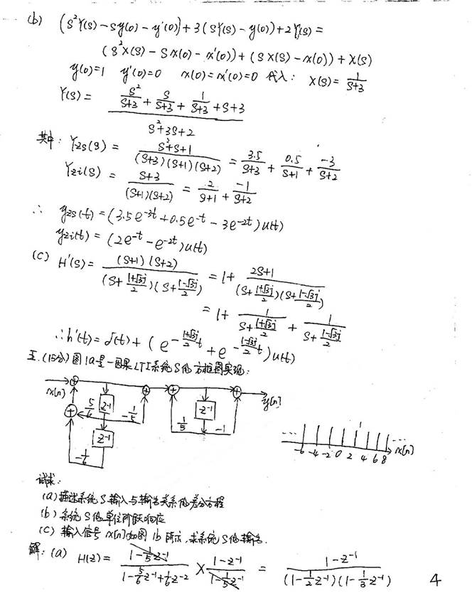
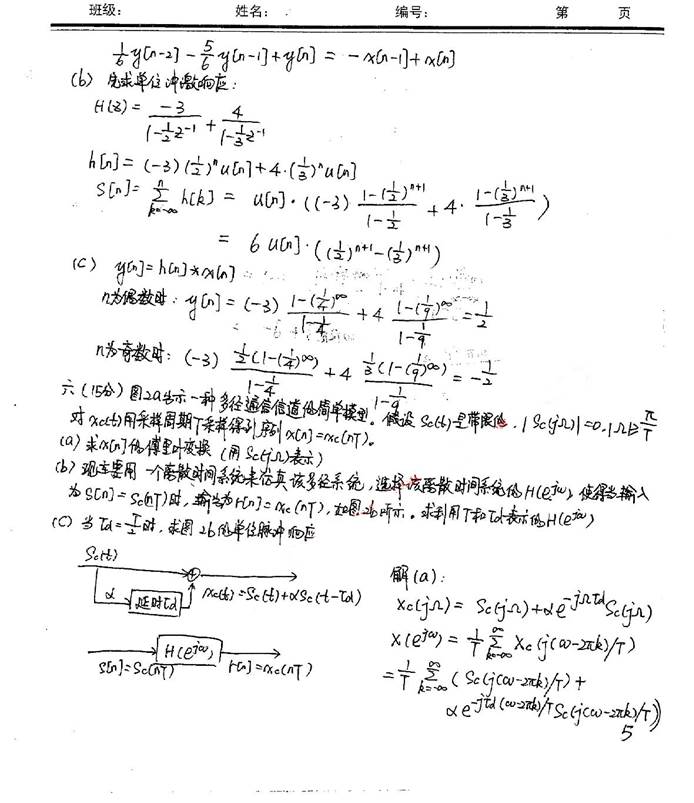
四、(10分)已知某因果离散LTI系统的系统函数的差分方程为:
求:1.写出系统的系统函数H(z)及其频率响应;
2.求出系统的单位样值响应序列h[n],是稳定系统吗?
3.画出系统的直接Ⅱ型模拟框图;
4.当时,求出系统的零状态响应;
五、(10分)已知某系统的S域方框图如下,试求出整个系统的系统函数,并画出该系统的零极点图。
六、(10分)对某一特殊的x[n],其傅里叶变换为,已知下面四个条件:
1.
2.
3.的虚部为
4.
求x[n]。
七、(共12分,每小题6分)用代数法化简以下逻辑函数
八、(共10分,每题5分)分析下列电路图,写出各电路的输出表达式
九、组合电路设计(共16分,每题8分)
1.只用四位全加器74238实现一个一位8421BCD码乘以5的电路,要求输出也为8421BCD码,写出设计过程,画出电路图。
2.设计代码转换电路,输入为3为格雷码,输出3位二进制码,要求用一个8线-3线高优先级编码器74148和一个3线-8线译码器74138,不能外加其他器件。3位格雷码表如表一所示。
十、(15分)有一个外输入A及一个外输出Z的时钟电路其状态表如表而所示,试用JK触发器及二选一数据选择器设计此时序电路,要求电路尽量简单,写出设计电路,画出电路图。
表二 状态表
A=0
A=1
A=0
A=1
000
000/0
001/0
100
000/1
001/0
001
000/0
010/0
101
000/1
010/0
010
000/0
011/0
110
000/1
011/0
011
100/0
011/0
111
000/1
011/0
十一、(共12分,每小题6分)图1为两片16进制同步计数器74LS161构成的计数器。74LS161的功能表如表三所示。
1.试分析此电路为几进制计数器,写出分析过程。
2.假设此电路为N进制计数器,请在此电路基础上添加少量器件,使其构成2N分频器,即新构成的电路输出频率与时钟频率之比为1:2N,画出电路。
CP
EP
ET
工作状态
×
0
×
×
×
置零
↑
1
0
×
×
预置数
×
1
1
0
1
保持
×
1
1
×
0
保持(但C=0)
↑
1
1
1
1
计数
十二、(10分)用图所示的74LS194双向移位寄存器及其他必要的器件设计状态表如表二所示的时序电路,写出设计过程,画出电路图。74LS194的功能表如表四所示。
输入
功能
输出
方式控制
1
0
1
↑
右移
1
1
0
↑
左移
1
1
1
↑
置数
1
0
0
↑
保持
0
×
×
×
清0
0
0
0
0
2006年浙江大学449信号系统与数字电路考研真题
2005年浙江大学842信号系统与数字电路考研真题及详解
2004年浙江大学449信号系统与数字电路考研真题

部分内容
2013年浙江大学842信号系统与数字电路考研真题及详解




参考答案:












更多内容,请点击获取:
http://shuyue.100xuexi.com/Ebook/973303.html
