考研真题
1. 华东理工大学《816控制原理》历年考研真题汇总
2. 全国名校自动控制原理考研真题汇总(含部分答案)
考研指导书
1. 胡寿松《自动控制原理》(第7版)笔记和课后习题(含考研真题)
2. 胡寿松《自动控制原理》(第7版)配套题库【考研真题精选+章节题库】(上册)
3. 胡寿松《自动控制原理》(第7版)配套题库【考研真题精选+章节题库】(下册)

华东理工大学《816控制原理》历年考研真题汇总
书籍目录
2017年华东理工大学816控制原理考研真题(回忆版)
2016年华东理工大学816控制原理考研真题(回忆版)
2013年华东理工大学816控制原理考研真题(回忆版)
2012年华东理工大学816控制原理考研真题
2010年华东理工大学816控制原理考研真题
2009年华东理工大学816控制原理考研真题(部分)
2008年华东理工大学816控制原理考研真题
2007年华东理工大学416控制原理考研真题
2006年华东理工大学458控制原理考研真题
2005年华东理工大学458控制原理考研真题
2004年华东理工大学458控制原理考研真题
2003年华东理工大学458控制原理考研真题
2002年华东理工大学459控制原理考研真题
2001年华东理工大学459控制原理考研真题
2000年华东理工大学459控制原理考研真题

部分内容
2017年华东理工大学816控制原理考研真题(回忆版)
第一题:
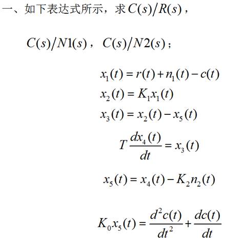
与下题类似,但要求画出信号流图,然后用梅森公式求系统传递函数。
注意掌握:除了普通的传递函数还需要掌握输入作用下的稳态误差的求法、扰动作用下的稳态误差。

第二题:
不记得了,但是关于非零初始条件状态响应考了好几年了但是17年没考,除此之外几个动态性能指标务必要知道它们的定义,书中给出来的tr、tp、ts公式使用的前提条件是都是欠阻尼二阶系统,在不满足这个条件时就只能由输出输出响应曲线C(t)结合各动态参数的定义通过函数求导的方法求解。

第三题:
画根轨迹还是奈奎斯特图,不记得的了。
第四题:
忘了,此处假装有第四题。
第五题:
求稳态域度,按照题目给出的标准求稳态域度,结果求得是负值,压根就不稳定,当时以为自己求错了,也没时间检查就pass了。
注:华理自控研究生考试可以带计算器,但是最终答案还是计算错误的话直接0分,没有步骤分的(华理的出题老师们一定是这么想的:都给你计算器了还是算错活该零分),几代学长都是这么交代的。平时大家的计算务必仔细。
第六题:
Z域的稳态判据,主要是记住几个基本的Z变换公式,求脉冲传递函数;通过判断Z域的特征方程求的特征根是否在单位圆内作为判断是否稳定的充分必要条件;离散系统的稳定判据:w变换
& 朱丽稳定判据
第七题:
考的是第八章的非线性系统分析——描述函数法,好像是书上原题改下参数,胡寿松第六版自动控制原理P396。

第八章的考点就两个:
(1)画简单的相轨迹并作分析,考的曲线很固定,感觉考的最多的就是书上P377页非线性系统相平面分析给出的两个图形(15和16连续考了两年,17年没考,18年不知道);
(2)常见的非线性特性结合负倒特性曲线分析,考试会让你求几个常见类型的描述函数N(A),但是自己务必记住书上给出的表8-1,(只要是不带“环”的,最好自己都找规律记下来,我当时抄了好几遍记下来的)。考试时写个基本步骤后,直接把描述函数拍上去。等你一步一步的求我觉得不太现实,毕竟时间有限。碰到计算量大的年份你会哭的。
第八题:
考点在第九章,感觉每年都考的差不多,无非就是求状态空间表达式和传递函数互求,画出系统状态变量图,可控性可观性判断(主考秩判据),然后就是状态反馈配置系统极点。感觉考得比较简单,但是难点部分:对偶原理、系统的结构分解、状态转移矩阵和李雅普诺夫第一第二法,有时间也是要看一下最好是会基本的,实在是没时间就算了,为什么这么说呢?因为华理单双控很牛B(考题很bian
tai),我之前拿着非零初始条件求输出响应的真题问一个考江南大学自控的大牛,他给的回答是:这题太偏了不可能考的……。我的内心,我只能说这题我们已经考了好几年了。
找了一个跟真题差不多的题型如下:课本P426页-例9-2、例9-3。如下所示

到此2017年华理自控研究生入学考试真题回忆版结束,说实话忘了很多了,但是写的
绝对真实,毕竟自己也就这么一路过来的,哪怕题目做的很多,但是感觉考试的时候还是会有“熟悉的陌生人”的感觉,总之就是能做出来就是感觉有点变扭又说不出哪里的感觉,比如说让求稳态域度,结果求的是不稳定,答案就是不稳定没办法,但是考试的那会儿真心感觉有点虚,毕竟一题20分,答案算错0分,你说刺激不。
说明:本帖来自于考研论坛,考生朋友可借鉴参考!
更多内容,请点击获取:
http://shuyue.100xuexi.com/Ebook/972591.html
