考研真题
1. 北京大学深圳研究生院《企业管理(组织行为学30%、市场营销学30%、管理学40%)》历年考研真题
2. 全国名校管理学考研真题汇总
考研指导书
1. 罗宾斯《组织行为学》(第18版)配套题库【考研真题精选+章节题库】
2. 罗宾斯《管理学》(第13版)笔记和课后习题(含考研真题)
3. 罗宾斯《管理学》(第13版)配套题库【考研真题精选+章节题库】
4. 2026年管理学考研真题与典型题

北京大学深圳研究生院《企业管理(组织行为学30%、市场营销学30%、管理学40%)》历年考研真题AI讲解
书籍目录
2008年北京大学企业管理考研真题及详解
2008年北京大学企业管理(回忆版)考研真题及详解
2007年北京大学企业管理(回忆版)考研真题及详解
2006年北京大学企业管理(回忆版)考研真题及答案
2005年北京大学企业管理考研真题及详解
2004年北京大学企业管理考研真题及详解
2003年北京大学企业管理考研真题及详解
2002年北京大学企业管理考研真题及详解
2001年北京大学企业管理考研真题及详解
2000年北京大学企业管理考研真题及详解
1999年北京大学企业管理考研真题及详解
1998年北京大学企业管理考研真题及详解
1997年北京大学企业管理考研真题(含部分答案)
1996年北京大学企业管理考研真题(含部分答案)

部分内容
2008年北京大学企业管理考研真题及详解
北京大学2008年硕士研究生入学考试试题
考试科目:企业管理
招生专业:企业管理
一、简答题
1(3分)什么是无边界组织?
2.(3分)公平理论的基本原理是什么?
3.(3分)团队领导者的具体角色有哪些?
4.(3分)利益相关者关系管理的主要内容是什么?
5.(6分)什么是权责发生制?什么是收付实现制?两者有何区别?
6.(6分)什么是借贷记账法?其记账规则是什么?
7.(6分)什么是总分类账户和明细分类账户的平行登记?登记要点是什么?
二、简述题
1(7分)什么是社会责任?试对社会责任的古典观点与社会经济学观点进行比较。
2.(6分)指导程序化决策的方式有哪三种?各自的含义和差别是什么?
3.(6分)有机式组织与机械式组织的特征是什么?
4.(7分)影响控制的权变因素有哪些?相应的控制策略是什么?
5.请简要解释(注意不对称性信息的作用机理):
(1)(5分)旧车市场中的逆向选择(Adverse Selection)。
(2)(5分)委托人—代理人关系中的道德风险(Moral Hazard)。
(3)(5分)劳动市场中的信号传递(Signaling)。
6.(7分)什么是工作设计?工作特征模型的五种核心维度各是什么?
7.(6分)启明公司于2007年2月7日收到一张面值为30000元,3个月期,年利率为9%的商业汇票一张。后因资金需要,于4月7日持该票据到银行输贴现手续,年贴现率为6%。请计算出票据到期值和贴现金额,并编制贴现时的分录。
8.(6分)某企业2007年4月30日银行存款日记账余额为64300元,银行对账单的余额为77940元,经核对,发现有下列未达账项:
(1)企业已入账,银行未入账的企业存入转账支票450元。
(2)企业购材料开出转账支票11990元,银行尚未入账。
(3)银行已入账,企业未入账的银行代收销货款2900元。
(4)银行入账,企业未入账的银行贷款利息800元。
要求:根据以上未达账项,编制银行存款余额调节表。
三、论述题
1(15分)某工程队承担一座桥梁的施工任务,由于施工地区夏季多雨,需停工三个月。在停工期间,该工程队可将施工机械搬走或留在原处。搬走需花4000元。若留在原处,一种方案是花1500元筑一护堤,防止河水上涨发生高水位的侵袭。若不筑堤发生高水位侵袭时将损失1万元,如下暴雨发生洪水时则不管是否筑护堤,施工机械留在原处都将受到6万元的损失。据历史资料,该地区夏季高水位的发生率是2.5%,洪水的发生率是2%。问该施工队应如何决策才能使损失最小?
2(15分)某企业11月份发生下列经济业务:
①销售产品65000元,贷款存入银行;
②预付下年度1~6月份保险费15000元;
③销售产品22000元,贷款尚未收到;
④预付购货款34000元;
⑤收回上月销货款25000元;
⑥本月预提短期借款利息5200元;
要求:根据上述资料,分别按权责发生制和收付实现制原则计算该企业本月收入和费用。
3(15分)假设厂商面临以下最优要素投入的选择问题:

其中p为产品价格,w为投入要求价格,z为要素投入量,f(z)为生产函数。在z>0,
>0,
>0,
>0以及
<0的情况下,请推导出
,并解释该不等式的经济含义。
4(15分)一个市场上有两个公司,每个公司都可以采取鹰派与鸽派两种竞争策略。如果两公司都采取鹰派策略,将导致两败俱伤的结果,两公司的效用都是-50;如果它们都采取鸽派策略,它们的效用将同为0;如果一个公司采取鹰派策略,另一个采取鸽派策略,那么鹰派公司的效用就是1,而鸽派公司的效用为-1。现在考虑两公司同时选择它们的竞争策略这一博弈:
(1)(5分)画出以上博弈的规范式(Normal Form)。
(2)(5分)找出以上博弈的纯策略纳什均衡。
(3)(5分)找出以上博弈的混和策略纳什均均衡。
参考答案:
北京大学2008年硕士研究生入学考试试题
考试科目:企业管理
招生专业:企业管理
一、简答题
1(3分)什么是无边界组织?
答:无边界组织(boundaryless organization),是指其横向的、纵向的或外部的边界不由某种预先设定的结构所限定或定义的一种组织设计。
(1)边界有两种类型:内部边界和外部边界:
①内部边界包括横向边界和纵向边界。横向边界由工作专门化和部门化形成,而纵向边界则是将员工划归为不同的组织层级;
②外部边界是将组织与其顾客、供应商及其他利益相关群体分离开来的隔墙。
(2)无边界组织的优缺点:
①优点:高度的灵活性和反应能力;能吸引各地方的人才。
②缺点:缺乏控制;沟通困难。
2(3分)公平理论的基本原理是什么?
答:公平理论(Equity
Theory),又称为社会比较理论,是由斯达西·亚当斯(J.Stacey Adams)于20世纪60年代提出的,基本原理是当一个人做出了成绩并取得了报酬以后,他不仅关心自己所得报酬的绝对量,而且关心自己所得报酬的相对量。即员工首先把自己在工作情境中得到的结果(所得)与自己的努力(付出)进行比较,然后再将自己的所得—付出比与相关他人的所得一付出比进行比较。
(1)公平理论的模式(即方程式):Qp/Ip=Q0/I0
式中,Qp表示一个人对他所获报酬的感觉;Ip表示一个人对他所做投入的感觉;Q0表示这个人对某比较对象所获报酬的感觉;I0表示这个人对比较对象所做投入的感觉。
(2)如果员工感觉到自己的比率与他人的比率是等同的,则为公平状态,即他觉得自己处在公平的环境中;如果感到二者的比率不相同,则会产生不公平感,即他认为自己的报酬过低或过高。
3(3分)团队领导者的具体角色有哪些?
答:(1)团队领导者的工作,重点关注两个方面:①对团队外部事务的管理;②对团队进程的推动。
(2)这两个方面进一步分解为四种具体的领导角色:
①团队领导者是对外联络官。这些外在机构包括上级管理层、组织中的其他工作团队、客户、供应商;
②团队领导者是困难处理专家。当团队遇到困难并寻求帮助时,领导者会出现并帮助他们解决问题,帮助员工针对困难进行交流,并获得解决困难所必需的资源;
③团队领导者是冲突管理者。当出现不一致意见时,他们帮助解决冲突,他们帮助人们明确问题所在,从而把团队内部冲突的破坏性降到最低;
④团队领导者是教练。他们明确期望和角色,提供教育与支持,为成员的成功喝彩。他们尽一切努力帮助团队成员保持高水平的工作业绩。
4(3分)利益相关者关系管理的主要内容是什么?
答:1984年,弗里曼出版了《战略管理:利益相关者管理的分析方法》一书,明确提出了利益相关者管理理论,主要内容有:
(1)利益相关者管理,是指企业的经营管理者为综合平衡各个利益相关者的利益要求而进行的管理活动;
(2)与传统的股东至上主义相比较,该理论认为任何一个公司的发展都离不开各利益相关者的投入或参与,企业追求的是利益相关者的整体利益,而不仅仅是某些主体的利益。这些利益相关者包括企业的股东、债权人、雇员、消费者、供应商等交易伙伴,也包括政府部门、本地居民、本地社区、媒体、环保主义等的压力集团,甚至包括自然环境、人类后代等受到企业经营活动直接或间接影响的客体;
(3)这些利益相关者与企业的生存和发展密切相关,他们有的分担了企业的经营风险,有的为企业的经营活动付出了代价,有的对企业进行监督和制约,企业的经营决策必须要考虑他们的利益或接受他们的约束。
5(6分)什么是权责发生制?什么是收付实现制?两者有何区别?
答:(1)权责发生制又称应计制或应计基础,是指收入和费用的确认应该以收入和费用的实际发生与否为标准,而不考虑款项是否已经收付的会计核算原则。权责发生制是当前绝大多数企业所采用的核算基础,其特点为:以交易和事项是否实质发生为确认标准,旨在计量主体在某个期间内取得经济收益与消耗经济资源之间的差额。
(2)收付实现制(现金收付基础)又称“实收实付制”,是以款项的实际收付为标准来处理经济业务,确定本期收入和费用,计算本期盈亏的会计核算原则。收付实现制违背了财务报表要素的定义。它通过忽略应收项目低估了收入和资产,忽略应付项目而低估了费用和负债,另外,有超过一年经济寿命的支出不能予以资本化、在未来年限中进行折旧摊销,预付费用与递延费用并没有在它们真正耗费的当期作为费用支出。因而收付实现制违背了会计核算上的配比原则,其所提供的报表对未来的现金流量状况的预测价值是非常有限的。
(3)权责发生制和收付实现制在收入与费用的确认与计量方面有很大区别,具体如下:
权责发生制要求:凡是当期已经实现的收入和已经发生或应当负担的费用,不论款项是否收付,都应当作为当期的收入和费用;凡是不属于当期的收入和费用,即使款项已经在当期收付,也不应当作为当期的收入和费用。通常,企业在经营过程中会遇到以下四类事项:①属于本期收入但尚未收到款项;②属于本期费用但尚未支付款项;③本期已收到款项但不属于或不完全属于本期收入;④本期已付款但不属于或不完全属于本期费用。由于权责发生制原则的存在,使得这些业务无法在发生时即完整、正确地记录,而必须进行调整以正确反映当期的收入和费用,所以需要编制调整分录。
收付实现制下:凡在本期实际以现金付出的费用,不论其应否在本期收入中获得补偿均应作为本期应计费用处理;凡在本期实际收到的现金收入,不论其是否属于本期均应作为本期应计的收入处理;反之,凡本期还没有以现金收到的收入和没有用现金支付的费用,即使它归属于本期,也不作为本期的收入和费用处理。
6(6分)什么是借贷记账法?其记账规则是什么?
答:(1)借贷记账法是指以“借”、“贷”为记账符号的一种复式记账法。借贷记账法包含记账方法的平衡原理、记账方向的符号和账户结构、记账规则、试算平衡方法等几个重要内容。
(2)借贷记账法的记账规则是:有借必有贷,借贷必相等。
每一种复式记账法都有一定的记账规则,都是建立在会计等式“资产=负债+所有者权益”平衡原理基础上,根据资金增减变化的客观规律制定的科学记账规则,以保证账户记录的正确性。记账规则是通过编制记账凭证与会计分录表现出来的。由于借贷记账法是复式记账,对每一项经济业务都要在两个或两个以上的相关账户中进行分类记录,记录一个账户的借方,同时必须记录另一个账户或几个账户的贷方;记录一个账户的贷方,同时必须记录另一个或几个账户的借方。记入借方的金额与记入贷方的金额必须相等。因此,借贷记账法的记账规则可以概括为:“有借必有贷,借贷必相等”。即对于每一笔经济业务都要在两个或两个以上相互联系的账户中,以借方和贷方相等的金额进行登记。
7(6分)什么是总分类账户和明细分类账户的平行登记?登记要点是什么?
答:(1)根据总分类账户和明细分类账户之间的关系,在会计核算中对总账户和明细账户的记录是采用平行登记的方法进行的。平行登记是指对所发生的每项经济业务事项都要以会计凭证为依据,一方面记入有关总分类账户,另一方面记入有关总分类账户所属明细分类账户的方法。
(2)总分类账户与明细分类账户平行登记的要点有:
①凭证相同。即依据的会计凭证相同。对每一项经济业务,一方面要记入有关总账账户,另一方面要在其所属的明细账账户中进行明细分类核算,即进行明细登记,由于是同一项业务,因此登记时依据的是同一会计凭证。
②方向一致。即记入的借贷方向相同。记入总账账户和记入其所属的明细账账户的方向应当一致,即在总账中记借方,在其所属的明细账中也应记借方;在总账中记贷方,则在其所属明细账户中也记贷方。
③期间相同。即记入的会计期间相同。在平行登记时,总账和明细账的登记应登记在同一个会计期间的账簿上,否则,不同会计期间的总账和明细账的发生额合计和余额数字就不相等,就不符合总账和明细账的基本关系。
④金额相等。即记入总分类账户的金额与记入其所属明细分类账户的合计金额相等。记入总账的金额应当与记入其所属明细账的金额相等。如果一个总分类账户同时涉及几个明细分类账户,则记入总分类账户的金额与记入其所属的几个明细分类账户的金额之和应当相等。平行登记的结果使总账与其所属明细账之间在数量上存在着如下的勾稽关系:总账账户的期初余额=所属明细账户期初余额合计;总账账户的本期发生额=所属明细账户本期发生额合计;总账账户的期末余额=所属明细账户期末余额合计。
二、简述题
1(7分)什么是社会责任?试对社会责任的古典观点与社会经济学观点进行比较。
答:(1)企业的社会责任是指工商企业追求有利于社会长远目标的义务,这种义务不是法律和经济所要求的。这一定义的前提是:第一,企业遵守法律,并且追求经济利益;第二,企业是一种道德机构,在努力为社会做贡献的过程中,能够分清正确的和错误的行为。
(2)对社会责任的认识有两种基本的观点,一是古典观,管理唯一的社会责任就是使利润最大化;二是社会经济观,站在社会经济的立场上,管理的责任不仅是使利润最大化,而且还要保护和增加社会财富。
①社会责任目标比较。古典观主张管理当局唯一的社会责任就是利润最大化;社会经济学观认为管理当局的社会责任不只是创造利润,还包括保护和增进社会福利。
②社会责任利益相关者比较。古典观点认为管理者的主要责任就是从股东(公司真正的所有者)的最佳利益出发来从事经营活动。不管何时,只要管理者自作主张将组织资源用于社会利益,就是在增加经营成本。这些成本要么通过高价转嫁给消费者,要么通过降低股息回报由股东所吸收;而社会经济学观点是基于社会对企业的期望已经发生了变化这样一种信念。公司并非只是对股东负责的独立实体。它们还要对社会其他利益相关者负责,社会通过各种法律法规认可了公司的建立,并通过购买产品和服务对其提供支持。
③社会责任支持论点比较。弗里德曼的古典观点并不是说组织不应当承担社会责任,他支持组织承担社会责任,但这种责任仅限于为股东实现组织利润的最大化;社会经济学观点的支持者认为,企业组织不仅仅是经济机构,社会接受甚至鼓励企业参与社会的、政治的和法律的事务。
2(6分)指导程序化决策的方式有哪三种?各自的含义和差别是什么?
答:程序化决策是指运用例行方法解决的重复性决策。程序化决策通常用于解决结构良好的问题(结构良好的问题是指那些直观的、决策者目标清楚的、熟悉的和信息容易定义和收集的问题)。指导程序化决策的方式主要包括程序、规则和政策三种。
(1)程序(procedure)。指相互关联的一系列顺序的步骤,管理者遵循这些步骤对结构良好问题作出响应。现实中唯一的困难是确认问题,一旦问题清楚了,就进入解决的程序。
(2)规则(rule)。指一种明确的陈述,它告诉管理者应该做什么,不应该做什么。规则通常被管理者用来处理结构良好的问题,他只需遵循和确保一致性即可。
(3)政策(policy)。指制定决策的指南。与规则不同,政策试图为管理者确立一些参数,而不是具体地告诉管理者应该做什么或不应该做什么。政策通常包含一些模糊的术语,它给决策留下了解释的余地。
3(6分)有机式组织与机械式组织的特征是什么?
答:(1)有机式组织(organic organization)
有机式组织是一种灵活的具有高度适应性的组织。其特征有:
①高灵活性,信息流动自由。因为不具有标准化的工作和规则条例,所以有机式组织具有灵活性,能根据需要迅速地作出调整。
②跨职能团队,宽管理跨度。有机式组织也进行劳动分工,但人们所做的工作并不是标准化的。员工经过良好的训练,并被授权开展多种多样的工作活动和处理问题,因此,这些组织经常地使用员工团队。
③低度正规化,分权化。有机式组织中的员工不需要多少正式的规则和直接监督。他们高水平的技能和训练,以及来自其他团队成员的支持,使正规化和严密的管理控制成为不必要。
(2)机械式组织(mechanistic
organization)
机械式组织是一种刻板的严密控制的结构。机械式的组织结构犹如高效率的机器,以规则条例、工作的标准化和同一模式的控制作为润滑剂。其特征主要有:①高度的专门化;②有限的信息沟通(大多是下行沟通);③广泛的部门化;④窄管理跨度;⑤高度正规化;⑥集权化,即基层员工很少参与决策。
4(7分)影响控制的权变因素有哪些?相应的控制策略是什么?
答:(1)影响控制的权变因素
①信息。在一个控制系统中,信息的传递方式、反馈方式以及处理方式,都影响着决策者控制的效率。控制是否有效的关键之一是看信息反馈是否灵敏、正确、有力。对信息反馈灵敏是一个组织活力的体现。正确的信息反馈表明组织正处于有序和正常运行之中。控制系统必须有完善的信息传递机制。控制必须以有效的信息为前提。如果组织内的信息不能顺畅流动,缺乏信息传递和反馈,控制就无法进行。所以,信息通畅与否直接影响着控制效率。
②分权。分权和控制之间存在着因果关系,分权是控制的原因之一,控制是分权的保障。如果管理者在管理中分权不当,权力失控,就会影响控制效率。
③标准。标准是控制的依据,控制标准必须实事求是,科学可行。标准不能太低,低的标准缺乏压力,不利于调动员工的积极性。标准也不能过高过严。若标准过高,下级和员工经过努力之后仍然不能达到,就会产生抵触情绪。如果用过严的标准进行控制,施控者与受控者往往会产生对立情绪,控制也将失去作用。
④控制制度。控制制度决定着控制工作本身的效率。控制制度规定着组织内部控制人员的职责、权力、工作内容和程序等。若控制制度不完善,控制效率肯定低下。
⑤各部门之间的协调程度。控制的最终目标是要保证计划顺利完成,实现组织的目标。在一个较大规模的组织中,组织的目标和计划往往要进行分解,再落实到各个部门中去。在目标分解和执行过程中,稍不注意,就可能使各部门之间的工作不一致,甚至各部门的目标相互冲突,这会给控制人员的控制带来困难,降低控制效率。
(2)有效的控制策略
①树立现代控制理念。现代有效控制理念是现代管理理念的主要组成部分,主要包括:a.建立新的施控者与受控者关系的理念。传统的控制管理理念认为,施控者处于绝对支配地位,受控者处于被支配地位,二者之间是命令和服从的关系。现代控制理念则认为,施控者与受控者是平等的,施控者的权威只有被受控者承认和接受才有意义,施控者只有靠职责和威望才能施控,控制才能发挥作用,有效控制才能实现;b.提高有效控制的效率,必须重视反馈。反馈是现代控制的特征之一,有了反馈,控制才可能高效率。
②合理分权。分权是控制中的重要环节,也是组织机构设置的中心环节。分权的合理与否只能根据实际情况来确定。一般来说,合理分权有下列原则:a.权力下放和责任落实相一致,保证权责对等;b.切忌越级授权。必须做到逐级授权,才有利于指挥控制,才有助于中层管理人员进行控制。否则,管理控制就乱套、无效;c.分权要从实际出发。分权是因人、因时、因地、因事而异的管理活动,管理者的分权必须从实际出发,不能盲目地照搬他人的做法。否则,分权不仅难以调动下层的积极性,反而会造成失控的局面。
③建立控制制度。控制制度的建立包含着广泛的内容,从某种意义上来讲,基本上与管理相等同。就狭义的控制制度建立而言,应做好如下几项主要工作:a.组织内应建立精干而高效的控制机构,配备称职的控制人员;b.组织内应建立明确具体的控制责任制;c.组织应完善内部的信息交流体系,确保信息纵横传递顺畅,反馈及时;d.组织内应搞好沟通协调工作,形成有机的控制系统网络。
5请简要解释(注意不对称性信息的作用机理):
(1)(5分)旧车市场中的逆向选择(Adverse Selection)。
(2)(5分)委托人—代理人关系中的道德风险(Moral Hazard)。
(3)(5分)劳动市场中的信号传递(Signaling)。
答:(1)逆向选择是指在买卖双方信息非对称的情况下,差的商品总是将好的商品驱逐出市场;或者说拥有信息优势的一方,在交易中总是趋向于做出尽可能地有利于自己而不利于别人的选择。
在旧车市场上,假定有若干辆质量不同的旧车要卖。旧车主知道自己要卖的车的质量,质量好的索价高些,质量差的索价低些。但买主不知道每辆旧车的质量情况。在这种情况下,买主只能按好的旧车和差的旧车索价的加权平均价格来购买。这样,由于买主无法掌握旧车的准确信息,从而其出价并不区分旧车质量的好坏,质量好的旧车会退出市场,质量差的旧车留在市场上。一旦发生这样的情况,质量差的旧车比例增加,买主会进一步降低出价,使质量稍好的旧车也退出市场,如此循环下去,旧车市场就会逐渐萎缩。
(2)道德风险是指在双方信息非对称的情况下,人们享有自己行为的收益,而将成本转嫁给别人,从而造成他人损失的可能性。道德风险的存在不仅使得处于信息劣势的一方受到损失,而且会破坏原有的市场均衡,导致资源配置的低效率。
在信息不对称的情况下,当代理人为委托人工作而其工作成果同时取决于代理人所做的主观努力和不由主观意志决定的各种客观因素,并且主观原因对委托人来说难以区别时,就会产生代理人隐瞒行动而导致对委托人利益损害的“道德风险”,道德风险发生的一个典型领域是保险市场。保险公司对客户的信息不可能充分掌握,结果是身体差的人投保最多。事后保险公司才了解到实际发病率和死亡率大大高于预期的死亡率和发病率。这迫使保险公司按“最坏情况”的估计来制订保险费率,但这样会使费率上升,并且会使身体好的人不愿参加保险。尽管他们有获得保障的需求,但市场无法给他们提供保险。保险市场的有效性被破坏。
(3)卖者以某种方式向买者传递产品质量信息以消除因非对称信息而产生的的逆选择问题称为向市场发送信号。
在劳动力市场,在供求双方对于劳动者生产能力信息不对称的情况下,劳动者的受教育水平(用受教育的年限、获得的文凭来表示)可以作为劳动力卖者向其买者发送的有关劳动力质量的市场信号,从而使双方作出合乎理性的行为。劳动力买者根据这一信号区分高质量的劳动与低质量的劳动,并把它作为支付劳动报酬的依据。
6(7分)什么是工作设计?工作特征模型的五种核心维度各是什么?
答:(1)工作设计主要是为了克服单调、重复性工作带给员工的乏味和倦怠感,常用的工作设计方法包括工作轮换设计、工作扩大化设计和工作丰富化设计。
(2)哈克曼与奥德海姆提出了工作特征模型,根据工作特征模型,任何工作都可以用五个核心任务维度来描述,具体如下:
①技能多样性(skill variety)。指一项工作中要求员工使用各种技能和才干以完成不同类型的活动的程度。高技能多样性工作的一个例子是,一家汽车修理站的所有者兼经营者,其活动内容包括进行电子维修、装配发动机、做一些体力活动以及与顾客接触等。低技能多样性的工作如车身制造厂的工人每天8小时的喷漆工作。
②任务完整性(task identity)。指一项工作中要求完成一件完整的和可辨识的任务的程度。高任务完整性的一个例子是家具生产商,自己设计图样、选料、制造产品并将之完善。低任务完整性的一个例子是家具厂的锯木工人。他的任务只是开动车床制作桌腿。
③任务重要性(task significance)。指一项工作对他人的生活或工作的实际影响程度。高任务重要性的一个例子是医院危重病房的护理人员,他们要处理病人各种各样的要求。低任务重要性的一个例子是医院擦地板的工人。
④工作自主性(autonomy)。指一项工作给任职者在安排工作内容、确定工作程序方面,实际上提供了多大的自由度、独立性及自主权。高工作自主性的一个例子是销售人员。他可以自主安排工作日程,在不受监督的情况下制定针对客户的最有效的销售方式。低工作自主性的一个例子是每天都被给予完整的工作引导,并且被要求按照标准的销售指导手册会见潜在客户的销售人员。
⑤反馈(feedback)。指员工在完成任务的过程中,在多大程度上可以直接而且明确地获得有关自己工作绩效的信息。高反馈的一个例子是电子工厂中安装iPods,然后进行测试以确定其性能是否合格的工人。低反馈的一个例子是,同一工厂中,当iPods安装完毕后,交给质量控制检验人员测试性能并做必要调整的工人。
7(6分)启明公司于2007年2月7日收到一张面值为30000元,3个月期,年利率为9%的商业汇票一张。后因资金需要,于4月7日持该票据到银行输贴现手续,年贴现率为6%。请计算出票据到期值和贴现金额,并编制贴现时的分录。
答:票据到期值=30000×(1+9%/12×3)=30675(元);
贴现金额=30675×6%/12=153.375(元);
贴现款=30675-153.375=30521.625(元)。
会计分录如下:
借:银行存款 30521.625
贷:应收票据 30000
应收利息 450
财务费用 71.625
8(6分)某企业2007年4月30日银行存款日记账余额为64300元,银行对账单的余额为77940元,经核对,发现有下列未达账项:
(1)企业已入账,银行未入账的企业存入转账支票450元。
(2)企业购材料开出转账支票11990元,银行尚未入账。
(3)银行已入账,企业未入账的银行代收销货款2900元。
(4)银行入账,企业未入账的银行贷款利息800元。
要求:根据以上未达账项,编制银行存款余额调节表。
答:编制银行存款余额调节表后,对于未达账项不需进行账簿记录的调整,只有等到有关单据到达时,才可进行账务处理。编制的该企业银行存款余额调节表如表1所示。
表1 某企业银行存款余额调节表

三、论述题
1(15分)某工程队承担一座桥梁的施工任务,由于施工地区夏季多雨,需停工三个月。在停工期间,该工程队可将施工机械搬走或留在原处。搬走需花4000元。若留在原处,一种方案是花1500元筑一护堤,防止河水上涨发生高水位的侵袭。若不筑堤发生高水位侵袭时将损失1万元,如下暴雨发生洪水时则不管是否筑护堤,施工机械留在原处都将受到6万元的损失。据历史资料,该地区夏季高水位的发生率是2.5%,洪水的发生率是2%。问该施工队应如何决策才能使损失最小?
解:根据题意,建立决策树模型如图1所示。

图1
使用期望值法计算过程如图2所示。

图2
最优决策为:不必搬走机械,但要筑一个护堤,期望损失1267.5元。
2(15分)某企业11月份发生下列经济业务:
①销售产品65000元,贷款存入银行;
②预付下年度1~6月份保险费15000元;
③销售产品22000元,贷款尚未收到;
④预付购货款34000元;
⑤收回上月销货款25000元;
⑥本月预提短期借款利息5200元;
要求:根据上述资料,分别按权责发生制和收付实现制原则计算该企业本月收入和费用。
答:(1)权责发生制原则下:凡是当期已经实现的收入和已经发生或应当负担的费用,不论款项是否收付,都应当作为当期的收入和费用;凡是不属于当期的收入和费用,即使款项已经在当期收付,也不应当作为当期的收入和费用。
按权责发生制原则计算:
本月收入=65000+22000=87000(元);
本月费用=5200(元)。
(2)收付实现制原则下:凡在本期实际以现金付出的费用,不论其应否在本期收入中获得补偿均应作为本期应计费用处理;凡在本期实际收到的现金收入,不论其是否属于本期均应作为本期应计的收入处理;反之,凡本期还没有以现金收到的收入和没有用现金支付的费用,即使它归属于本期,也不作为本期的收入和费用处理。
按收付实现制原则计算:
本月收入=65000+25000=90000(元);
本月费用=15000+34000=49000(元)。
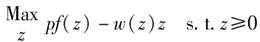
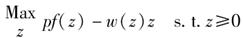
3(15分)假设厂商面临以下最优要素投入的选择问题:

其中p为产品价格,w为投入要求价格,z为要素投入量,f(z)为生产函数。在z>0,
>0,
>0,
>0以及
<0的情况下,请推导出
,并解释该不等式的经济含义。
答:方法一:由题目条件,知厂商利润函数为:
。
让π对z一阶求导,导数等于零则可满足利润最大化要素投入量:

对z二阶求导,得:
。
因为z>0,
>0,
>0,
>0,
<0,
所以,
<0,则π对z一阶求导
在区间(0,+∞)单调递减,且
。
所以,
>
=0即
>0。
整理得:
。
该不等式的经济含义是指生产要素投入量还未到达利润最大化,企业应该增加对要素的投入。
方法二:由题目条件,厂商利润最大化问题为:
。
对上式关于z求微分,有:
。
因为要素供给为价格的函数,所以此市场非完全竞争要素产品市场,从而
>w,所以,
,两边同时除以p得:
。
该不等式的经济含义是:生产要素投入量还未到达利润最大化,企业应该增加对要素的投入。
4(15分)一个市场上有两个公司,每个公司都可以采取鹰派与鸽派两种竞争策略。如果两公司都采取鹰派策略,将导致两败俱伤的结果,两公司的效用都是-50;如果它们都采取鸽派策略,它们的效用将同为0;如果一个公司采取鹰派策略,另一个采取鸽派策略,那么鹰派公司的效用就是1,而鸽派公司的效用为-1。现在考虑两公司同时选择它们的竞争策略这一博弈:
(1)(5分)画出以上博弈的规范式(Normal Form)。
(2)(5分)找出以上博弈的纯策略纳什均衡。
(3)(5分)找出以上博弈的混和策略纳什均均衡。
答:(1)根据题目条件,设两个公司为公司甲、公司乙,则两公司的博弈得分矩阵如表2所示。
表2 公司甲、公司乙的博弈得分矩阵

(2)根据上规范式,运用划线法,知两个公司博弈的纯策略纳什均衡是(鹰派,鸽派),(鸽派,鹰派),如表2中两个划线处的得益所示。因为,这个两个决策时每个公司在对方选择策略下自己实现效用最大化的最优选择,构成两个纳什均衡。
(3)令公司甲以α的概率选择鹰派,以1-α的概率选择鸽派;公司乙以β的概率选择鹰派,以1-β的概率选择鸽派,则公司甲和公司乙的收益分别要满足:
-50β+1·(1-β)=-1·β+0·(1-β)
-50α+1·(1-α)=-1·α+0·(1-α)
解得:β=
,α=
;则
构成混合策略的纳什均衡。
更多内容,请点击获取:
http://shuyue.100xuexi.com/Ebook/978852.html
